es de unicoos:
https://www.youtube.com/watch?v=k28OXQ_S9Hs&list=PLOa7j0qx0jgOoql07mtZ7EoT9et8QR5rE&index=2
cuando dice vector, es lo mismo que decir vector director no?, y la normal/perpendicular cual seria?
Hola!
Necesito resolver el siguiente ejercicio y ando bastante despistada por aquello del OJO... ¿Alguien puede echarme un cable? Es una población infinita.
La consejería de Educación de la Comunidad Autónoma de Iberia quiere volver a medir la adquisición de valores democráticos en los estudiantes de primaria y secundaria (en total son 225.222). En la última encuesta el 87% de los/as estudiantes se definían claramente como demócratas
Por los datos de la matricula se puede plantear un Muestreo Aleatorio Simple a través de una encuesta telefónica. Con el presupuesto que se cuenta la empresa que va a realizar el trabajo de campo puede entrevistar a 1.500 personas. ¿Cuál sería el error muestral para las estimaciones de valores democráticos?
Ojo: Ten en cuenta hay información previa sobre el comportamiento de la variable “valores democráticos”.

Observa que tienes un sistema de dos ecuaciones lineales, de primer grado y con tres incógnitas, por lo que puedes elegir una y asignarle el parámetro, por ejemplo:
y = t (1),
luego sustituyes y haces pasajes de términos en ambas ecuaciones y queda:
2x - z = 3 + 5t, de aquí puedes despejar: 2x - 3 - 5t = z (2)
x - z = 2 + 3t,
luego sustituyes en la segunda ecuación y queda:
x - (2x - 3 - 5t) = 2 + 3t, distribuyes el agrupamiento de términos y queda:
x - 2x + 3 + 5t = 2 + 3t, haces pasajes de términos, reduces términos semejantes y queda:
- x = - 1 - 2t, multiplicas en todos los términos por -1 y queda:
x = 1 + 2t (3),
luego sustituyes en la ecuación señalada (2) y queda:
2(1 + 2t) - 3 - 5t = z, distribuyes el agrupamiento y queda:
2 + 4t - 3 - 5t = z, haces pasajes de términos, reduces términos semejantes y queda:
- z = 1 + t, multiplicas en todos los términos por -1 y queda:
z = - 1 - t (4),
luego, con las ecuaciones remarcadas y señaladas (1) (3) (4) tienes el sistema de ecuaciones cartesianas paramétricas:
x = 1 + 2t
y = t
z = - 1 - t,
con t ∈ R.
Espero haberte ayudado.

a)
Puedes investigar una función lineal, cuya ecuación tiene la forma:
p = mt + b,
luego, puedes reemplazar los datos de las dos primeras columnas de la tabla de valores, y queda el sistema de ecuaciones.
5 = 1m + b, de aqui despejas: 5 - 1m = b (1)
7 = 2m + b,
luego sustituyes en la segunda ecuación y queda:
7 = 2m + 5 - 1m, reduces términos semejantes y queda:
7 = m + 5, haces pasaje de término y queda: 2 = m,
reemplazas en la ecuación señalada (1) y queda:
5 - 1*2 = b, resuelves y queda: 3 = b.
Luego, tenemos que la expresión de la función es:
p = 2t + 3,
y puedes verificar que es válida si sustituyes los valores de t en cada una de las demás columnas de la tabla,
y verás que obtienes en cada caso el valor correspondiente de p.
b)
Debes evaluar la función para t = 3: p(3) = 2*3 + 3 = 6 + 3 = 9.
c)
Planteas:
25 = 2t + 3, y de aquí despejas (te dejo la tarea).
d)
Evalúas la función para t = 0 y queda: p(0) = 2*0 + 3 = 3.
Espero haberte ayudado.
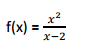
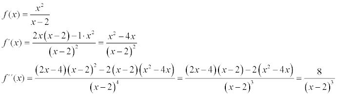
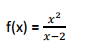
En un estudio de una función racional, para hayar las asíntotas se iguala a cero el denominador, pero yo en el examen lo hice con el numerador y obtuve la maxima puntuacion del ejercicio.
Alguien me puede confirmar si es valido igualar el numerador a cero?
Buenos días!
Necesito ayuda con este problema, es sobre derivadas y máximos y mínimos; sé la teoría, pero no tengo ni idea de como empezar el problema.
-Se quiere construir un cercado para meter cabras. Tenemos 500 m de valla. La forma del cercado tiene que ser rectangular y con el área más grande posible. Si uno de los lados del terreno está limitado por un bloque de pisos y no hace falta cerrarlo, ¿cuales tienen que ser las dimensiones del rectángulo? ¿Cuanto medirá el área de este rectángulo?
Gracias!
Mireia