Chicos, he intentado resolver esta integral, mi profesor dice que se debe realizar por sustitución trigonométrica, sin embargo, no lo he logrado. Les agradezco un montón si me pueden ayudar pronto. Mil gracias.

Puedes intentar la sustitución (cambio de variable):
x = 3tanw (1), de donde tienes: dx = (3/cos2w)dw, y también tienes: x2 + 9 = 9tan2w + 9 = 9(tan2w + 1) = 9/cos2w.
luego, la integral queda:
∫ ( 27tan3w / √(9/cos2w) )(3/cos2w)dw = ∫ ( 27tan3w / 3/cosw )(3/cos2w)dw = 27 ∫ sen3w/cos4w dw =
= 27 ∫ sen2w*senw/cos4w dw =27 ∫ (1 - cos2w)/cos4w senwdw =
(aquí aplicas la sustitución: p = cosw (2), de donde tienes: dp = - senw*dw, y también tienes: - dp = senw*dw)
= 27 ∫ (1 - p2)/p4 (- dp) = - 27 ∫ (1/p4 - 1/p2) dp =
(integras)
= - 27( (-1 / 3p3 + 1/p ) + C =
( sustituyes la expresión señalada (2) )
= - 27(- 1 / 3cos3w + 1/cosw) + C = 9/cos3w - 27/cosw + C =
(luego, puedes despejar a partir de la ecuación señalada (1): arctan(x/3) = w, y sustituyes)
= 9/cos3(arctan(x/3)) - 27/cos(arctan(x/3)) + C.
Espero haberte ayudado.
me falta unicamente el ultimo punto de todos, esto lo hice en base a un estudio, las funciones en 4.2 son estas
f(x) = 7sen(0.46x - 1.9) + 6.8
g(x) = 6.7sen(0.42x - 0.1) - 0.15
y para hacer ese punto tenia que derivarlas (la derivada seria la función velocidad) a lo que tengo esto, ya consulte, y si, esa derivada es la función velocidad
y ahora me falta el punto 4.3
Esto no es lo mismo que hallar la derivada segunda y igualarla a 0 porque mi profesor me pide un punto exacto es decir se que los puntos maximos son infinitos porque la funcion es secuencial pero me pide cual es el punto exacto em dice que se puede hacer hallando los puntos criticos o con la amplitud pero no se si es de la derivada segunda o de la derivada que puse en este post
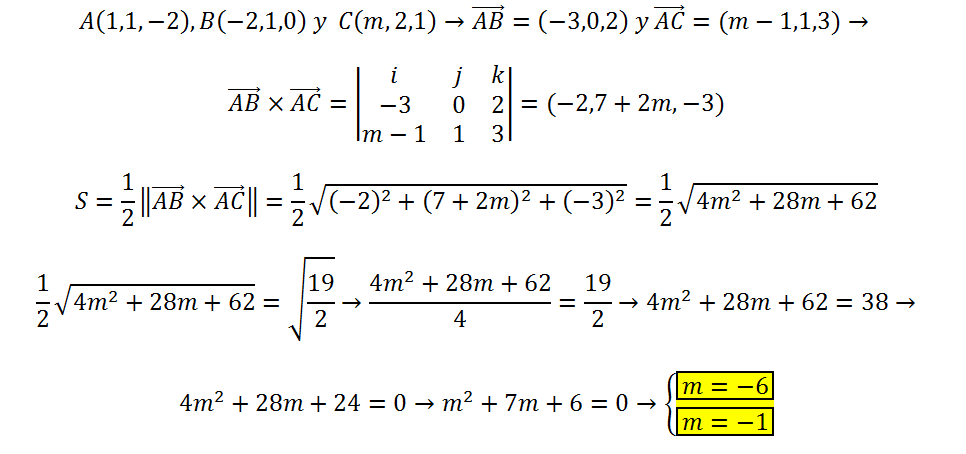
Como se aria? Traducion en Castellano: Dado los puntos A( 1,1,-2), B ( -2,1,0) i C (m,2,1) calcula el valor de m para que el area del triangulo sea √ (19/2 )![]()
Calcula la distancia entre los puntos, es decir, la longitud de los tres lados del triángulo.
Halla su área aplicando la fórmula de Herón
iguálala a √ (19/2 ) y despeja m
¿cómo se hace una derivada que tenga un logaritmo de base 10?
¿Me podéis ayudar con este ejercicio? ¿Habría alguna forma de resolver el problema escalonando la matriz y viendo el rango? Muchas gracias!
- 2x2 + 26x - 60 =0
Ejercicios de segundo grado
Gracias
- 2x2 + 26x - 60 =0 ----------> Si multiplicas por -1/2 a ambos lados es equivalente a esta: x2 - 13x + 30 =0 (así trabajas más cómodamente, sin signo negativo en el denominador y simplificada)
{ (-)-13 +/- √[(-13)2-4(1)(30)] } / (2*1) = { 13 +/- √[169 - 120]} / 2 = { 13 +/- √[49]} / 2 = { 13 +/- 7} / 2 -------> x1 = 10 x2 = 3
Hola me podrían ayudar con este ejercicio de trigonometría?
-Me piden que sin utilizar la calculadora y razonando sobre la circumferencia goniométrica encuentre el sen, cos, tg, de los siguients ángulos:
-π/6 , 2π/3 , 5π/4 , 37π/6