Dos automoviles con velocidades v1 y v2 avanzan en forma simultanea por dos rectas diferentes, que se cortan formando un angulo recto. Ambos se acercan al punto de interseccion entre las dos rectas partiendo desde unas distancias a y b, respectivamente. Hallar el instante en que la distancia entre los moviles es mınima.

Vamos con una orientación.
Planteamos un sistema cartesiano con ejes OX y OY coincidentes con las rectas del enunciado, y origen de coordenadas en el punto de intersección. Consideramos que el móvil 1 se desplaza por el eje OX y que el móvil 2 lo hace por el eje OY.
Consideramos que el móvil 1 parte desde el punto de coordenadas: A(-a,0), y que el móvil 2 parte desde el punto B(0,-b).
Observa que las velocidades tienen los sentidos positivos de sus ejes.
Luego, las ecuaciones de movimiento son, respectivamente:
x = - a + v1t
y = - b + v2t
Luego, la posición del móvil 1 en un instante genérico t es P(x,0), y
la posición del móvil 2 en dicho instante es: Q(0,y),
y la distancia queda expresada:
d = √( (x - 0)2 + (0 - y)2 ) = √(x2 + y2).
Luego, sustituyes las expresiones de las ecuaciones de movimiento y queda:
d(t) = √( (- a + v1t)2 + (- b + v2t)2 ).
Luego, queda que derives a expresión, iguales a cero para detrerminar el instante crítico, y luego terminar la tarea.
Espero haberte ayudado.

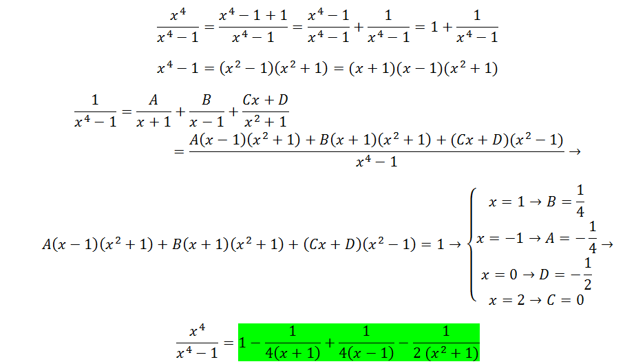
Observa que no has factorizado correctamente el numerador, y que éste no tiene factores comunes con el denominador en la expresión de la función a integrar..
Vamos con una orientación.
Observa que el denominador tiene dos factores simples con multiplicidad 2, por lo que la descomposicón como suma de fracciones simples es:
(Ax + B)/(x + 1)2 + (Cx + D)/(x+ 2)2 = ( (Ax + B)(x + 2)2 + (Cx + D)(x + 1)2 ) / (x + 1)2(x + 2)2,
luego igualas numeradores y queda la igualdad entre polinomios:
(Ax + B)(x + 2)2 + (Cx + D)(x + 1)2 = x2 + 3x - 2,
luego, evaluamos para cuatro valores distintos, por ejemplo: x = - 1, x = - 2, x = 0 y x = 1,
y queda el sistema de ecuaciones
- A + B = - 4
- 2C + D = - 4
4B + D = - 2
9A + 9B + 4C + 4D =2.
Luego, queda que resuelvas el sistema, y concluyas la tarea.
Haz el intento, y si te resulta necesario no dudes en volver a consultar.
Espero haberte ayudado.
Tengo una duda!
https://www.youtube.com/watch?v=onkZpzgu9ww en este vídeo nos dice que: Ln(x)= 1/x pero en las formulas generales Ln(x)= x'/x
Me pueden explicar por favor!

Si tu consulta es sobre derivadas:
1) Si la variable independiente es x, observa que su derivada es x ' = 1 (derivada de a función identidad), y por lo tanto tienes:
y = lnx, cuya derivada es: y ' = x '/x = 1/x.
2) Pero si x es a su vez una función de otra variable, tienes:
y = lnx, cuya derivada es: y ' = x '/x.
Espero haberte ayudado.