Estudios de secuencias del tipo {1}, {1,2,1}, {1,2,3,4,3,2,1}, ⋯
Estoy estudiando un método estocástico, y cuando hago cálculos obtengo secuencias del tipo {1}, {1,2,1}, {1,2,3,4,3,2,1}, {1,2 , 3,4,5,6,7,8,7,6,5,4,3,2,1}, ⋯ apareciendo en todas partes.
Esto me llevó a querer aprender más sobre ellos. Creo que probablemente se muestran mucho en matemáticas. ¿Tienen un nombre, tal que puedo buscarlos y aprender más sobre ellos?
Buenas, podiais ayudarme a resolver las siguientes integrales, tengo que prepararmelas para el examen de este viernes y no consigo resolverlas.
Gracias
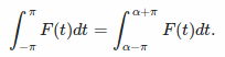
Integral de una función periódica
Si F: ℛ → ℂ es 2π-periódica y Riemann integrable en [-π, π], luego demuestra que para todo α∈ℛ,

Me encantaría ayudarte, pero no respondo dudas universitarias que no tengan que ver específicamente con los videos que ya he grabado como excepcion. O de otras asignaturas que no sean matemáticas, física y química. Lo siento de corazón… Espero lo entiendas
Ojalá algun unicoo universitario se anime a ayudarte (de hecho lo ideal es que todos los universitarios intentarais ayudaros los unos a los otros)
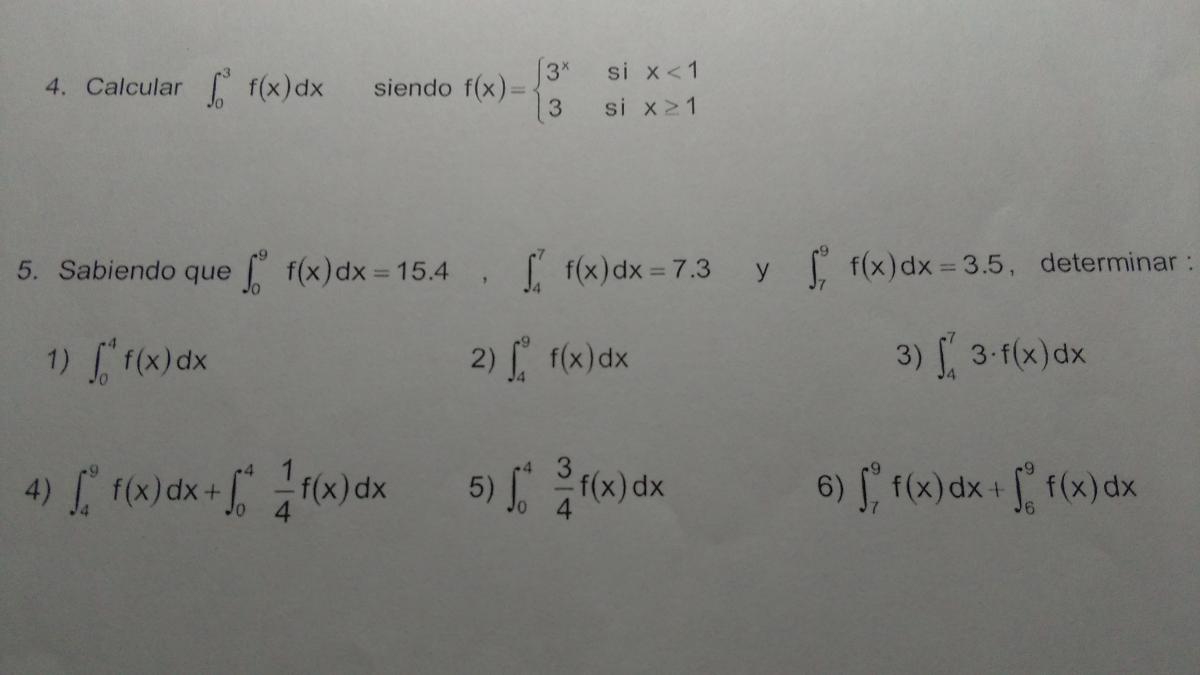
Buenas tardes, mañana tengo examen de matemáticas y me preguntaba si me podrían ayudar a resolver dos problemas que no soy capaz de entender y de resolver. Estos problemas son el 3 y el 4 de esta relación, muchas gracias.
Un saludo.

3)
Recuerda que para una transformación lineal debe cumplirse que la dimensión del dominio es igual a la suma de la dimensión del núcleo más la dimensión de la imagen.
En este ejercicio, tienes que el dominio es R3 y la dimensión del dominio es tres,
tienes que la dimensión del núcleo es dos, ya que todos sus elementos son generados por los dos vectores linealmente independientes que muestra el enunciado (<1,0,1> y <1,1,1>),
y tienes que la dimensión de la imagen es dos, ya que todos sus elementos son generados por los dos vectores linealmente independientes que te muestra el enunciado (<1,0,0,0> y <1,2,0,0>).
Por lo tanto observa que la suma de las dimensiones del núcleo y de la imagen es cuatro, que es distinta de la dimensión del dominio, por lo que concluyes que no existe una transformación lineal que cumpla con las condiciones del enunciado.
4)
Tomamos un vector genérico del núcleo de la transformación lineal, por lo que planteamos:
f(x,y,z) = <0,0,0>, luego sustituimos y queda:
<2x+y+4z,x+y+2z,x+y+3z> = <0,0,0>,
igualamos componente a componente y queda el sistema:
2x + y + 4z = 0
x + y + 2z = 0
x + y + 3z = 0, de aquí despejamos: y = - x - 3z (1),
sustituimos la expresión señalada (1) en las dos primeras ecuaciones y queda:
x + z = 0
- z = 0, de aquí despejamos: z = 0,
reemplazamos en la primera ecuación y queda:
x = 0,
reemplazamos los valores remarcados en la ecuación señalada (1) y queda: y = 0,
por lo que concluimos que el núcleo de la transformación lineal es el conjunto ker(f) = { <0,0,0> }, y como el vector nulo es su único elemento, tenemos que su dimensión es cero.
Luego, observa que el dominio es R3 y que su dimensión es tres,
observa que el codominio es R3,
y de acuerdo a la relación entre las dimensiones del núcleo (cero), del dominio (tres) y de la imagen,
tenemos que la dimensión de la imagen de la transformación lineal es tres,
por lo que tenemos que la imagen coincide con el codominio, y es el conjunto R3.
Espero haberte ayudado.