Supongamos que la serie Σan converge. Probar que lim(n → ∞)an = 0.
No estoy seguro de cómo hacer esto mi intento:
∀ε> 0, ∃N> 0, tal que para todo n∈ℕ, si n> N, entonces | an-0 | <ε
Sea ε> 0 arbitrario
Elija N tal que | an-0 | <ε
Supongamos que n> N, entonces | an-0 | <ε
No estoy seguro.
Una secuencia que evita las progresiones de potencia de 3 términos
Rankin¹ estudió secuencias de números enteros que evitan progresiones geométricas de tres términos, (a, ac, ac²), por ejemplo,
{1,2,3,5,6,7,8,10,11,13,14,15,16,17,19,…}
Por lo tanto, 18 se excluye porque (2,6,18) = (2,2·3,2·3²) forma una progresión geométrica. Él demostró que la densidad asintótica(https://en.wikipedia.org/wiki/Natural_density) de esa secuencia codiciosa excede 0.71.
Me pregunté acerca de las secuencias que evitan las progresiones de potencia a tres plazos, (a, ac, ack), donde c≥2 y k≥2 son números naturales. Aquí empiezo de nuevo con (1,2) y continuo agregando el primer número que evita todas las progresiones de potencia de 3 términos:
{1,2,3,5,6,7,10,11,13,14,15,17,19,21,22,23,26,29,30,31,33,34,35,37,…}.
Por ejemplo, 8 se excluye porque (1,2,8) = (1,1⋅2,1⋅2³) es una secuencia de potencia. Mucho más tarde, 945 se excluye porque (35,105,945) = (35,35⋅3,35⋅3³).
Pregunta: ¿Cuál es la densidad asintótica de la secuencia codiciosa anterior que evita todas las progresiones de poder de tres términos?
La densidad parece ser alrededor de 0,63, hasta 644 términos que terminan en 1021. Tenga en cuenta que los enteros libres de cuadrados tienen densidad 6 / π²≈0,61. Mi secuencia es libre de cuadrados, sin cubos, etc., porque (1, c, ck) es una progresión de potencia.
¹R. Rankin. "Conjuntos de enteros que no contienen más de un número dado de términos en progresión aritmética." Proc. Roy. Soc. Edimburgo Sec. A. 65 (1961). Citado por Nathan McNew en el cartel, "Evitar progresiones geométricas en los enteros". (https://math.dartmouth.edu/graduate-students/works/2013-14/McNew-GradPosterSession.pdf)

Me encantaría ayudarte, pero no respondo dudas universitarias que no tengan que ver específicamente con los videos que ya he grabado como excepcion. O de otras asignaturas que no sean matemáticas, física y química. Lo siento de corazón… Espero lo entiendas
Ojalá algun unicoo universitario se anime a ayudarte (de hecho lo ideal es que todos los universitarios intentarais ayudaros los unos a los otros)
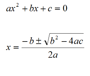
4x2 + 4x + 1= 0
Son ecuaciones de segundo grado
Gracias

Para este tipo de ecuaciones tienes que utilizar la fórmula que está en la imagen.
Lo único que tienes que hacer es ir sustituyendo.
Te dejo algún vídeo que te puede ayudar además:
Ecuaciones de segundo gradoEspero que te haya quedado más claro
¿Hola buenas, podríais ayudarme a hallar los máximos y minimos de esta función? f(x)=x^2-3x+2/x^2+3x+2
Es que me sale: Máximo (-√2,0) Mínimo (√2,0) Cuando supuestamente tendría que salir. Máximo (-√2,-34) Mínimo (√2,-0.03)
Muchas gracias