CÓMO HALLAR LA APOTEMA DE UN PRISMA REGULAR?
GRACIAS
Creo que lo que tienes que hacer son los siguientes pasos:
Suele ser muy difícil, pero en el caso del prisma rectangular es sólo coger el centro de cada cara incluyendo bases ... y de hecho todas las distancias serán iguales, así que no necesariamente, y menos en este caso, hay unicidad .. .
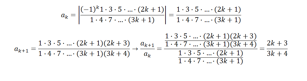
Utilice la prueba de relación para la convergencia absoluta para determinar si la serie es absoluta o diverge.
No entiendo cómo el término general se convierte en este
Obviamente esto converge absolutamente, apenas no consigo entender el 2do paso.
Buenos días, me pueden ayudar con estos ejercicios por favor?
1. la temperatura de una placa delgada está dada por T (x,y) = e¯y. senx. Encontrar la ecuación de las lineas de flujo de calor( trayectorias ortogonales)
2. Demostrar que la ecuación dy/dx = y(y²-x²-1)/x(y²-x²+1) puede resolverse efectuando a coordenadas polares r y θ, donde x = r cosθ , y = r sen θ y halle la solución
3. Hallar la solución general de (x³+xy²+y)dx + (y³+x²y+x)dy

Me encantaría ayudarte, pero no respondo dudas universitarias que no tengan que ver específicamente con los videos que ya he grabado como excepcion. O de otras asignaturas que no sean matemáticas, física y química. Lo siento de corazón… Espero lo entiendas
Ojalá algun unicoo universitario se anime a ayudarte (de hecho lo ideal es que todos los universitarios intentarais ayudaros los unos a los otros)
me podeis ayudar con est
(x*2-1) por ex
Me piden que halle la ecuacion de la recta tangente a la misma en los puntos de inflexion
y el area delimitada por la curva el eje de abcisas y las resctas verticales X=2 e X=-2 y no me ni siquiera la grafica. Yo lo hago dandole valores perno no hay manera, GRacias.