hola. quisiera saber si hay una formula que relaciona un termino cualquiera con otro cualquiera en PA(progresion aritmetica), como el termino 94 con el 24.... ayuda porfa.
hola buenas tardes, me podrían ayudar a calcular el coeficiente de x^12 mediante el uso de funciones generatrices en (x³+x^4 +x^5+x^6)(x³+x^4 +x^5)^2, me esta dando -3 pero no se que estoy haciendo mal ..
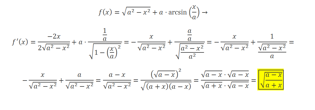
Hola. Tengo un ejercicio un poco complicado, para mi.
es e2x-4 (10x²+4x-3) y debo realizar el crecimiento de la funcion, los limites en puntos de no existencia y los limites en el infinito. Desde ya gracias a quien me dara una mano, les pido ser bastante claros con la explicacion porque es un tema particularmente dificil para mi log.de e.
Gracias otra vez.

Puede que te ayude... Vector Gradiente
A partir de ahí, me encantaría ayudarte, pero no respondo dudas universitarias que no tengan que ver específicamente con los videos que ya he grabado como excepcion. O de otras asignaturas que no sean matemáticas, física y química. Lo siento de corazón… Espero lo entiendas
Ojalá algun unicoo universitario se anime a ayudarte (de hecho lo ideal es que todos los universitarios intentarais ayudaros los unos a los otros)