De este ejercicio pude hacer solo del ejercicio la parte de g(x), y del que tiene log neperiano solo llegue a realizar la derivada, luego no se como seguir.
Gracias.
Buenos días me gustaría que me ayudarías con este ejercicio, gracias.
De un tronco de radio r se corta una cuña formada por dos planos que se encuentran en el diámetro del tronco. Uno de los planos es horizontal y el otro forma un ángulo θ con la base. Calcula el volumen de la cuña.

Puedes considerar una superficie cilíndrica circular de radio r y eje z, cuya ecuación cartesiana es: x2 + y2 = r2.
Puedes considerar el plano OXY, cuya ecuación es: z = 0, como el plano de la base.
Luego, puedes considerar un plano "inclinado" como extensión en la dirección del eje OX de la recta del plano OYZ cuya ecuación es ecuación: z = tanθ*y + r*tanθ (observa que el punto de coordenadas A(0,-r,0) pertenece a este plano, al plano anterior y al cilindro)..
A esta altura de las cosas, es muy conveniente que hagas un gráfico para visualizar mejor la situación.
Luego, tienes el intervalo de integración para la variable z:
0 ≤ z ≤ tanθ*y + r*tanθ,
por lo que puedes comenzar a integrar:
V = ∫∫∫ 1*dz*dx*cy = ∫∫ [ z ]*dx*dy, para evaluar z entre sus límites de integración con la Regla de Barrow,
evaluamos y queda:
V = ∫∫ (tanθ*y + r*tanθ - 0)*dx*dy = ∫∫ (tanθ*y + r*tanθ)*dx*dy (1).
Luego planteamos el cambio a coordenadas polares (observa que las designamos u y v para no confundir con los datos del enunciado.:
x = u*cosv
y = u*senv,,
con el factor de compensación (Jacobiano): |J| = u,
y el recinto de integración (observa que es un disco circular completo de radio r):
0 ≤ u ≤ r
0 ≤ v ≤ 2π,
y la integral señalada (1) queda:
V = ∫∫ (tanθ*u*senv + r*tanθ)*u*du*dv = ∫∫ (tanθ*u2*senv + r*tanθ*u)*du*dv = y puedes continuar la tarea.
Espero haberte ayudado.
Buen día, por favor su ayuda para pasar esta ecuación de hipérbola de su forma general a forma canónica.
Mil gracias.

Puedes comenzar por ordenar términos y hacer un pasaje de término y la ecuación queda:
3x2 + 12x - 8y2 + 16y = - 20,
luego extraes factor común por grupos:
3(x2 + 4x) - 8(y2 - 2y) = - 20,
luego sumas y restas 4 en el primer agrupamiento, sumas y restas 1 en el segundo agrupamiento, a fin de completar trinomios cuadrados perfectos y queda:
3(x2 + 4x + 4 - 4) - 8(y2 - 2y + 1 - 1) = - 20,
factorizas los trinomios cuadrados perfectos y queda:
3( (x + 2)2 - 4 ) - 8( (y - 1)2 - 1 ) = - 20,
distribuyes y queda:
3(x + 2)2 - 12 - 8(y - 1)2 + 8 = - 20,
haces pasajes de términos y queda:
3(x + 2)2 - 8(y - 1)2 = - 16,
divides en todos los términos de la ecuación por - 16 y queda:
- (3/16)(x + 2)2 + (y - 1)2/2 = 1,
expresas el coeficiente del primer término como divisor ( observa que 3/16 = 1/(16/3) ) y queda:
- (x + 2)2/(16/3) + (y - 1)2/2 = 1,
que es la ecuación canónica de una hipérbola con centro de simetría C(-2,1) y eje focal paralelo al eje OY.
Haz el intento de terminar la tarea, y si te resulta necesario, no dudes en volver a consultar.
Espero haberte ayudado.
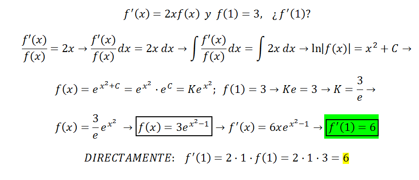
Hola,el ejercicio dice sabemos que f´(x)=2x f(x) y que f(1)=3 ¿Cuanto vale f´(1)? El tema es de ecuaciones diferenciales!
Subo la foto de lo que hice,pero no logro entender en donde tengo que remplazar el f(1)=3 y el f´(1)
Hola unicoos, me ayudan con esta ecuacion diferencial? Nose como empezar a despejarla,ya mire los videos pero sigo sin entender
(x∧2 -1)y∧2=x.y´
Buenas noches.Necesito ayuda con este limite.No puedo resolverlo.Ya probe con las equivalencias trigonometricas y todo eso, pero sigo sin llegar al resultado. Tengo que usar propiedades.
Lim(x,y)----(0,0) Sen^2(x).Sen^2(y)/2xy.tgx.tgy
seria, seno al cuadrado de x por seno cuadrado de y todo sobre 2xy por tgx por tgy.
Gracias de antemano
Hola Unicoos!! sigo teniendo problemas para resolver la derivada y hallar el punto de tangencia. Les agradecere lo puedan resolver...