Foro de preguntas y respuestas de Matemáticas

logo beUnicoos
Los foros de unicoos se han unificado en nuestra nueva plataforma beUnicoos. Para dejar nuevas preguntas deberás hacerlo allí, donde además podrás encontrar nuevas asignaturas y herramientas para ayudarte más con tus estudios.

  • icon

    Adrián Romeo
    el 1/5/17

    Hola me podrían racionalizar este ejercicio? Muchas gracias.

    replythumb_up0 voto/sflag
    icon

    Antonius Benedictus
    el 1/5/17

    Te va de dos formas:


    thumb_up1 voto/sflag
    icon

    Adrián Romeo
    el 2/5/17

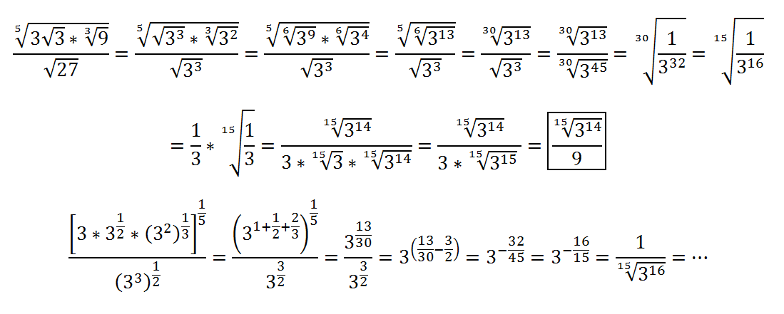
    Mmm lo he entendido casi todo excepto en la segunda línea (de la primera forma de hacerlo).

    De donde sale la raíz quinceava de 3^14  partido de 3 × raíz quinceava de 3 × raíz quinceava de 3^14? No entiendo de donde viene el 14.

    thumb_up0 voto/sflag
  • icon

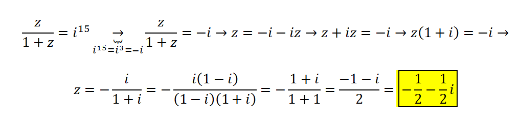
    Pablo
    el 1/5/17

    Hola, quería saber como se despeja esta ecuación de número complejo:

    z/1+z   =  i15  


    El resultado es:     z=  ( - 1 - i ) /2   ; 

                                 

                      

           



    replythumb_up0 voto/sflag
    icon

    Antonio
    el 1/5/17

    Sea z=a+bi

    z/(1+z)   =  i15  

    (a+bi)/(1+(a+bi))   =  i15  

    (a+bi)/((1+a)+bi))   =  - i

    (a+bi)/(1+a)+bi)   =  - i
    haciendo la división: 

    (a2+b2+a)/(a2+b2+2a+1) + (b)/(a2+b2+2a+1)i = 0-1i

    igualando:

    (a2+b2+a)/(a2+b2+2a+1)=0  =>  a2+b2+a=0

    (b)/(a2+b2+2a+1) = -1

    resolviendo el sistema

    a=-1/2 e b= -1/2 => z=-1/2-1/2 i

    a=-1 y b= 0 # no sería imaginario


    thumb_up0 voto/sflag
    icon

    Guillem De La Calle Vicente
    el 1/5/17


    thumb_up2 voto/sflag
    icon

    Antonio
    el 1/5/17

    Jo Guillem, qué fácil lo hiciste, me lié como una persiana.

    thumb_up0 voto/sflag
    icon

    Antonius Benedictus
    el 1/5/17


    thumb_up1 voto/sflag
  • icon

    Guillem De La Calle Vicente
    el 1/5/17

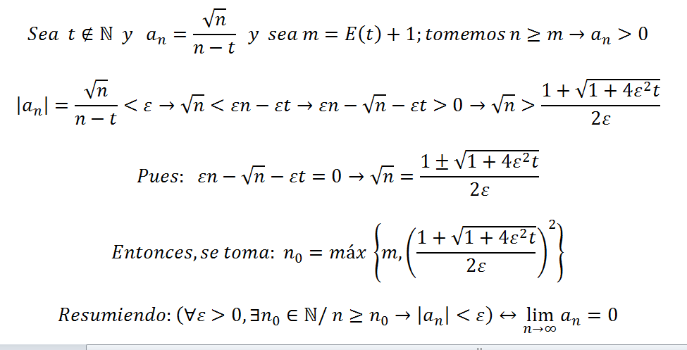
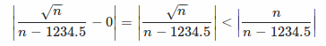
    Secuencias (prueba Epsilon-N)

    ¿Es la secuencia an = √(n)/ (n-1234.5) convergente o divergente?

    Tome lim (an) = lim √(n) / (n-1234,5). Entonces por L'H, lim 0.5n-1/2 = 0 como n → ∞.

    Reclamación: an → 0 como n → ∞.

    Sea ε> 0 arbitrario. Seleccione N> 1234,5 ?? (Mi intento) Entonces para n> N


    Estoy atascado aquí ... No sé cómo manipular esto más para demostrar que esto es menor que ε.

    Además, ¿cómo elegir N?

    Muchas gracias

    replythumb_up0 voto/sflag
    icon

    Antonius Benedictus
    el 1/5/17


    thumb_up0 voto/sflag
  • icon

    Rubén
    el 1/5/17

    Hola unicoos, ¿me podrían explicar lo que se ha hecho en este ejercicio despues de sacar el punto C?


    replythumb_up0 voto/sflag
    icon

    César
    el 1/5/17


    thumb_up0 voto/sflag
    icon

    Rubén
    el 2/5/17

    ¿Es que lo que viene debajo es otra forma de sacar el punto C?

    thumb_up0 voto/sflag
  • icon

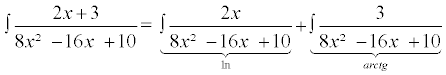
    Houda Hassar
    el 1/5/17

    Hola, queria preguntar si esta integral se puede mediante Ln.  ∫2x+3/ 8x² -16x +10

    Tengo claro que es de tipo Ln cuando la derivada del denominador esta en el numerador, en este caso, no esta pero casi. Ya que: 2(x+3) -10 +10 daria la derivada del denominador y no  he modificado el numerador, ya que fuera pondria 1/2 y +10 - 10 no hace nada.

    Gracias, saludos

    replythumb_up0 voto/sflag
    icon

    César
    el 1/5/17

    Mira esto y si tienes dudas nos cuentas


    thumb_up0 voto/sflag
    icon

    Houda Hassar
    el 1/5/17

    Hola, si, entiendo esa forma, pero de mi forma no se podria?


    thumb_up0 voto/sflag
  • icon

    lbp_14
    el 1/5/17

    Hola unicoos,

    si tengo algun fallo en esta derivada, diganmelo y sino tengo fallos, ayudenme con esta inmensa operación que me ha quedado.

    Gracias, saludos


    replythumb_up0 voto/sflag
    icon

    Antonio
    el 1/5/17

    BORRA la última fila urgentemente.

    el resto lo tienes bien hecho, a seguir

    fíjate en la resta y resuélvela, no sin antes pasar el menos del denominador para arriba



    thumb_up1 voto/sflag
  • icon

    Fernando Navarro
    el 1/5/17

    Me podrían ayudar en este ejercicio? Principalmente en el tema de las asintotas

    Dada la siguiente función: f(x)=((x2-9)(x+2))/((x+3)(x-1))

    a) Dominio

    b) Intersección con los ejes

    c) Determinar y clasificar discontinuidad

    d) Dar según lo anterior, asintotas verticales y los respectivos limites por izquierda y por derecha

    e) determinar asintotas horizontale

    replythumb_up0 voto/sflag
    icon

    Antonio
    el 1/5/17

    a) Dominio => ((x+3)(x-1))=0 => x=-3 y x=1 => D=ℛ-{-3,1}

    b) Intersección con los ejes => eje x: ((x2-9)(x+2))=0 => x=-3, x=3 y x=-2 ; eje y: f(0)= 6 => y=6; por lo tanto (3,0), (-2,0) y (0,6)

    c) Determinar y clasificar discontinuidad: Continua en su dominio, en x=-3 presenta una discontinuidad evitable y en x=1 presenta una discontinuidad de salto infinito

    d) Dar según lo anterior, asintotas verticales y los respectivos limites por izquierda y por derecha: en x=1 donde si (x->1+) f->  y si (x->1) f->

    e) determinar asintotas horizontales: no tiene


    thumb_up0 voto/sflag
    icon

    Antonio
    el 1/5/17

    Fíjate que tiene una asíntota oblicua.

    thumb_up0 voto/sflag
    icon

    Antonio
    el 1/5/17

  • icon

    lbp_14
    el 1/5/17

    Hola unicoos;

    ¿Cómo resuelvo la siguiente derivada como si fueran tres productos?

    Muchas gracias.

    y= x.ln(1-x2)

    replythumb_up0 voto/sflag
    icon

    Antonio
    el 1/5/17

    y= x.ln(1-x2)

    y'= ln(1-x2) + x (-2x)/(1-x2)

    y'= ln(1-x2) - 2x2/(1-x2)


    thumb_up1 voto/sflag
    icon

    lbp_14
    el 1/5/17

    Muchas gracias por contestar, pero

    Cómo lo has hecho? ¿Cómo quitas la x y como llegas a obtener la fracción?

    Gracias, saludos

    thumb_up0 voto/sflag
    icon

    Antonio
    el 1/5/17

    Use estos tres conceptos:

    Derivada de un producto

    Derivada del logaritmo

    Regla de la cadena

    thumb_up1 voto/sflag
  • icon

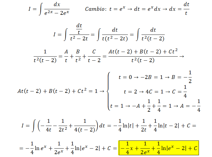
    Julio Rojas
    el 1/5/17

    buenas me podrian ayudar con esta integral, no se como se hacen las fracciones parciales con el numero e 

    replythumb_up0 voto/sflag
    icon

    Antonius Benedictus
    el 1/5/17


    thumb_up0 voto/sflag
  • icon

    Interayuda
    el 1/5/17

    Hola a todos los Únicos ; estoy tratando de hacer este ejercicio y para serles sincero no se bien como empezar dice:

    La proporción de artículos defectuosos en un gran lote de productos es de 0,12 .Cuál debe ser el menor tamaño de la muestra aleatoria elegida para que, con una probabilidad de al menos 0,99, la proporción muestral de defectuosos sea menor que 0,15?.

    Favor si alguien puede indicarme el camino a seguir. Gracias



    replythumb_up0 voto/sflag
    icon

    Antonius Benedictus
    el 1/5/17


    thumb_up0 voto/sflag