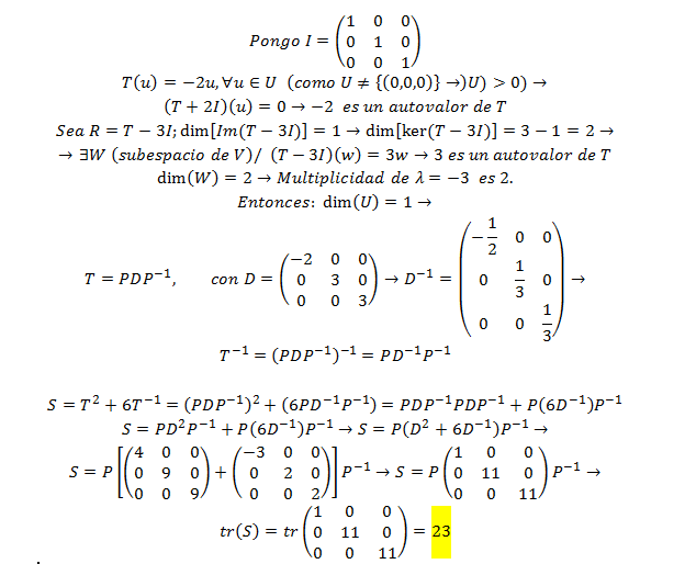
Hol unicoos, necesitaria una ayudita con este ejercicio, hace muhco no veo este tema y estoy medio oxidado.
saque creo, si esta bien que el nucleo tiene dimension 2 por teorema de las dimensiones pero eso fue lo unico, intente asociarlo con valroes y vectores propios y teorima de Caley Hamilton pero ta no me sale.
buenas noches.. esto es una duda general de geometría... en las distancias entre una recta y un plano... con que el plano no sea paralelo la distancia ya es nula porque aunque no fuera exactamente paralelo sino estuviera un pelin desviado por ejemplo, al ser los planos infinitos seguiria inmersa en el plano en algun punto no?. Graciass
Buenas noches, tengo este ejercicio de potencia, pero me confundí agradecería si me pueden ayudar
Felipe se enteró que una gran empresa internacional está buscando nuevos vendedores para sus productos electrónicos. Para participar como vendedor de esta empresa se tienen que cancelar $24.500. Por la buena atención que recibió y por la calidad de la empresa, decide llamar a tres de sus amigos para contarles de su nuevo trabajo. Sus tres amigos, al acercarse a la empresa y recibir los mismos beneficios que Felipe, decidieron llamar a tres amigos más y así promover el buen servicio. Todos los amigos que fueron contactados decidieron continuar con esta cadena iniciada por Felipe. La cadena de contactos culmina en la octava etapa. De acuerdo a la información proporcionada responda las siguientes preguntas:
6. ¿Cuantas personas entraron a trabajar a esta empresa internacional en la octava etapa del proceso iniciado contando a Felipe?
7. ¿Cuál es el total mensual recaudado por la empresa internacional después de efectuado todos estos nuevos contratos?
8. Una de las preguntas realizadas a las personas que entraban a trabajar a esta empresa internacional es como ellos obtuvieron la información. Los ejecutivos al darse cuenta que este proceso fue iniciado por Felipe, deciden darle una comisión de $3800 en el siguiente mes por cada nuevo contrato que se firmó
¿Cuál es el total de las comisiones recibidas por Felipe?
6.
1ª etapa del proceso-----> 1 persona: Felipe -----------------------------------> 0+30
2ª etapa del proceso-----> 4 personas: Felipe y sus 3 amigos ----------> 1+31
3ª etapa del proceso-----> 13 personas -------------------------------------------> 4+32
4ª etapa del proceso-----> 40 personas -------------------------------------------> 13+33
5ª etapa del proceso-----> 121 personas -----------------------------------------> 40+34
6ª etapa del proceso-----> 364 personas ----------------------------------------> 121+35
7ª etapa del proceso-----> 1093 personas --------------------------------------> 364+36
8ª etapa del proceso-----> 3280 personas --------------------------------------> 1093+37
7.
Si para participar como vendedor se tienen que generar 24.500 dólares y son 3280 los vendedores que tenemos en cuenta resultan 24500*3280= 80,36 millones de dólares
8. (no contamos a Felipe obviamente)
La comisión por los 3279 empleados a 3800$ cada uno, Felipe percibirá 3279*3800= 12.46 millones de dólares <----------------------Por este resultado es por lo que pienso que falta algún dato en el ejercicio, es una comisión demasiado bestia, pero bueno, de todo hay jaja
G [0.35<x≤0.39]= P[(0.38-0.35)/0.03 < Z ≤ (0.39-0.38)/0.03]
G [0.35<x≤0.39]= P[(0.03)/0.03 < Z ≤ (0.01)/0.03]
G [0.35<x≤0.39]= P[ 1 < Z ≤ 1/3]
En esta tabla puedes ver los valores de las probabilidades cuando la variable tipificada z=1 o z=1/3:
G [0.35<x≤0.39]= 0.8413-0.6293= 0.212= 21.2% de posibilidades de que el grosor de la cáscara esté entre 0.35 y 0.39mm
Buenas noches, tengo problemas con probabilidad y no puedo plantear este problema, agradecería la ayuda. En un total de 200 alumnos 40 estudian matemáticas, 40 filosofía , 40 lengua, si 20 estudian lengua y filosofía, 20 estudian lengua y matemática , 20 estudian filosofía y matemática ,solo 2 matemática. Hallar la probabilidad de que sólo estudie matemáticas. Gracias.
Determina l'equació de la circumferència circumscrita al triangle devèrtexs A(2,0), B(0,4) I O(0,0)
El circumcentre d'aquest triangle es pot conèixer gairabé d'una manera immediata. Recordes com s'ha de fer? Representa els punts en uns eixos cartesians I ho veuràs.
Hola, no entiendo muy bien lo que dice en la segunda parte del enunciado, pero si tienes tres puntos no colineales, tienes 2 opciones,
Opccion 1:
Reemplazar cada punto en la ecuacion general de la circunferencia (x2+y2+Ax + By +C = 0) y hallar las constantes A,B y C en un sistema de 3 x 3
Opccion 2:
Encontrar la ecuacion de dos simetrales (o mediatrices) del triangulo (Sabes que pasa por el punto medio del lado y que su pendiente es perpendicular al lado que corta) e intersectarlas para encontrar el centro de la circunferencia circunscrita, luego calculas la distancia desde el centro hacia cualquier punto de la circunferencia y de ahi sacas el radio.
Intenta hacerla ;), si no te sale o tienes alguna duda comenta denuevo
Determina el centre y el radi de la circumferència:
(x+2)²+(y-3)²=9
Esbrina si hi ha algún punt de la circumferència que tingui abscissa 2.

Recuerda que para la circunferencia con centro en el punto de coordenadas C(h,k) y radio R, la ecuación cartesiana canónica correspondiente tiene la forma:
(x - h)2 + (y - k)2 = R2,
y observa que las coordenadas del centro están en los binomios pero cambiadas de signo, y que el radio está elevado al cuadrado en el segundo miembro de la ecuación,
luego, en tu enunciado tienes la ecuación:
(x + 2)² + (y - 3)² = 9,
por lo que tienes que el centro de la circunferencia es el punto de coordenadas: C(-2,3),
y que el cuadrado de su radio queda: R2 = 9,
luego hacemos pasaje de potencia como raíz, y tenemos que su radio es: R = √(9) = 3.
Espero haberte ayudado.
Por favor ayuda con este ejercicio:
Halla la ecuación de la circunerencia que pasa por (−3,2) y por (4,1) y es tangente al eje X.
He calculado la mediatriz de esos dos puntos 7x−y −2=0 pero a partir de ahí no sé continuar...
Para resolver la integral de (2x²+5)^4 dx tendría que usar sustitución trigonométrica?

Podrías, no es mucho trabajo, aplicar el desarrollo de la cuarta potencia de un binomio:
(a + b)4 = a4 + 4a3b + 6a2b2 + 4ab3 + b4,
que para el caso del enunciado corresponde: a = 2x2 y b = 5. Prueba sustituir, y observa que te queda la integración de una función polinómica de cinco términos.
Haz el intento y, si te resulta necesario, no dudes en volver a consultar.
Espero haberte ayudado.
¿Cómo podría parametrizar las siguientes superficies de acuerdo con las coordenadas cilíndricas z² = 1 + x² + y² ; y z = x² + y² + 1?

Recuerda las fórmulas de pasaje de coordenadas cartesianas a coordenadas cilíndricas con eje z:
x = r*cosθ
y = r*senθ
z = z
con el factor de compensación (Jacobiano): |J| = r.
Luego, sustituyes en las ecuaciones de las superficies, y luego de operar quedan (en el orden del enunciado):
S1: z² = 1 + x² + y², (observa que se trata de un hiperboloide de dos hojas, con eje de simetría z y centro de simetría en el origen),
S1: z2 = 1 + r2, y al hacer el pasaje de potencia como raíz quedan ecuaciones para cada una de las hojas:
z = √(1 + r2) para la hoja "superior" con z > 0,
z = - √(1 + r2) para la hoja "inferior" con z < 0.
S2: z = x² + y² + 1, (observa que se trata de un paraboloide con eje z positivo, con vértice en el punto V(0.0.1)),
S2: z = r² + 1.
Espero haberte ayudado.