Foro de preguntas y respuestas de Matemáticas

logo beUnicoos
Los foros de unicoos se han unificado en nuestra nueva plataforma beUnicoos. Para dejar nuevas preguntas deberás hacerlo allí, donde además podrás encontrar nuevas asignaturas y herramientas para ayudarte más con tus estudios.

  • icon

    María
    el 18/4/17

    Ayuda con estos ejercicios Antonio Benito, por favor.


    replythumb_up0 voto/sflag
    icon

    María
    el 20/4/17

    Gracias por tu respuesta Antonio. ¿Podrías resolverme el 14 y el 15 ?

    thumb_up0 voto/sflag
  • Usuario eliminado
    el 18/4/17

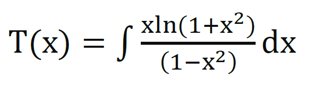
    Hola ¿puedes ayudarme o darme una idea con este problema? Gracias.
    He intentado por integral por partes pero al hallar "u", "du","v","dv" y reemplazarlos en la fórmula se hace más complicado la resolución.


    replythumb_up0 voto/sflag
    icon

    Antonius Benedictus
    el 18/4/17

    Esta integral no es expresable en términos de funciones elementales:


    thumb_up1 voto/sflag

    Usuario eliminado
    el 19/4/17

    Disculpe en el ejercicio que le envié es con "Logaritmo natural".

    ¿No hay un procedimiento para ese tipo de ejercicios?. Intenté con integral por partes.

    thumb_up0 voto/sflag
  • icon

    Laura
    el 18/4/17

    Buenas tardes, me ayudarían con este problema de probabilidad?  No se como plantear lo.  Un estudiante de 30 preguntas estudia 12, el profesor toma 10 preguntas de esas 30 de las cuales debe responder 6 como mínimo para aprobar, cual es la probabilidad de aprobar el examen?  Gracias

    replythumb_up0 voto/sflag
    icon

    Antonius Benedictus
    el 18/4/17


    thumb_up0 voto/sflag
  • icon

    Luis Diaz
    el 18/4/17

    Me ayudan con la integral de e^cos4x dx por sustitución , gracias 

    replythumb_up0 voto/sflag
    icon

    Antonius Benedictus
    el 18/4/17

    No es expresable de modo finito en términos de funciones elementales. Revisa el enunciado.

    thumb_up1 voto/sflag
    icon

    Luis Diaz
    el 18/4/17

    Le pregunté eso a mi maestro pero dijo que estaba bien el enunciado, tal vez se equivocó gracias 

    thumb_up0 voto/sflag
  • icon

    Letii GOmezz
    el 18/4/17

    Hola, buenas tardes, tengo una duda acerca de triángulos rectángulos, estaba realizando un ejercicio donde la hipotenusa tiene una medida de 10, uno de los catetos mide 5 y el angulo comprendido entre ellos es de 30 grados, sin embargo al utilizar razones trigonométricas el angulo faltante me da 30 grados cuando debería dar 60, el cateto faltante, mediante teorema de Pitagoras, me da 8.66...pero usando el arco del seno y coseno me da cosas diferentes; mi pregunta es ¿porque razón no todas las medidas corresponden a un triangulo rectángulo? probé cambiando el angulo de 60 grados como la medida del angulo comprendido entre la hipotenusa y cateto dados y ahí si pude resolverlo...agradezco de antemano su atención...

    replythumb_up0 voto/sflag
    icon

    carlos
    el 18/4/17


    Seguramente estés viendo el triangulo mal pero los cálculos estén bien, en la imagen el 2 triangulo seria el dibujo correcto

    thumb_up0 voto/sflag
    icon

    Antonio
    el 18/4/17

    Pues el fallo lo tienes al calcular el ángulo entre la hipotenusa y el cateto 8.66 que te da 30º en vez de 60º

    thumb_up0 voto/sflag
    icon

    Letii GOmezz
    el 18/4/17

    Muchisimas gracias por responder, sin embargo gráficamente no tengo problema, todo el procedimiento que estoy usando es analítico, tanto razones trigonométricas como teorema de pitagoras por lo que la forma de la figura no afectaría mi resultado; Siendo un poco mas explicita, sabemos que la suma de los angulos internos de cualquier triangulo es 180, según el problema tengo el angulo de 90 y el angulo de 30, por lo que el angulo faltante debería medir 60 grados. Quise comprobarlo de la siguiente manera (anexo dibujo para que se den una idea) 
    sen α = 5/10

    sen α=0.5

     α=arcsen 0.5
     α=30 grados



    thumb_up0 voto/sflag
    icon

    Antonio
    el 18/4/17

    Tus cálculos están bien, por lo que el fallo está en el enunciado del problema: donde dice 30º debe decir 60º, con lo que todo estaría correcto.


    thumb_up0 voto/sflag
  • icon

    Andy Di Mitro
    el 18/4/17

    el ejercicio 1.1.b no logro simplificar para llegar a una igualdad

    replythumb_up1 voto/sflag
    icon

    Antonius Benedictus
    el 18/4/17


    thumb_up2 voto/sflag
  • Usuario eliminado
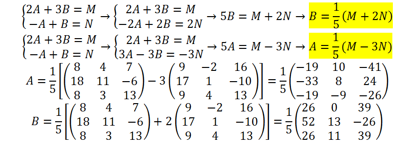
    el 18/4/17

    Hola. ¿Pueden decirme si el siguiente procedimiento de un problema de Cálculo Integral está bien? Gracias
    (No está terminado)


    replythumb_up0 voto/sflag
    icon

    Neofito 007
    el 18/4/17

    Es correcto , continúa sabiendo que 

    √x = x^(1/2)

    thumb_up0 voto/sflag
  • icon

    Paola
    el 18/4/17

    Buenas tardes, me podríais echar una mano con la representación gráfica de esta función? Ya la tengo estudiada pero no me sale un dibujo coherente. Muchas gracias !

    replythumb_up0 voto/sflag
    icon

    Antonius Benedictus
    el 18/4/17

    Ergebnisgrafik

    thumb_up0 voto/sflag
  • icon

    @navarroisso
    el 18/4/17


    replythumb_up0 voto/sflag
    icon

    Antonius Benedictus
    el 18/4/17


    thumb_up0 voto/sflag
    icon

    Antonius Benedictus
    el 18/4/17


    thumb_up0 voto/sflag
  • icon

    Guillem De La Calle Vicente
    el 18/4/17

    ¿Cuáles son algunos teoremas importantes en matemáticas que se han probado o descubierto en los últimos 20 años?

    replythumb_up0 voto/sflag
    icon

    Antonio
    el 18/4/17

    Sin lugar a dudas, el último teorema de Fermat.

    thumb_up0 voto/sflag