Buenas,
Tengo mis examenes finales dentro de nada y no entiendo los numeros complejos. En particular no entiendo el ejercicio 6 y el ejercicio 8 de la imagen. Cómo se hace?
Alguién me puede ayudar??
Muchas gracias unicoos
Hola, muchas gracias por su respuesta. Cómo hago el ejercicio 8?
Para la parte (a) por ejemplo traté de hacer lo siguiente:
1+ cis (2 pi / 5 ) + cis ( 4 pi / 5 ) + cis ( 6 pi / 5 ) + cis (8pi / 5 )
Y luego encontrar cada cis usando la formula:
cis del angulo = cos del angulo + sin del angulo
Pero no sé como encontrar los sin y cos de cada angulo sin calculadora. La parte b no sé qué hacer.
Cómo lo hago?
Muchas gracias de nuevo!
Qué opinaís de esto?
¿Cuál es el número mas hermoso y por qué?
El resultado de dividir 999999 en 7 es 142857, el número más fascinante que puedas hallar y te darás cuenta al multiplicarlo por cualquier número que no sea múltiplo de 7 que en su resultado se conserva el 142857. (Agrúpalo de 2 cifras para entenderlo mejor)
Ejemplos:
14 28 57 x 6 = 8 57 14 2 (Es muy evidente que ahí están las cifras originales)
14 28 57 x 23 = 3 28 57 11 (El catorce se fragmentó en el 11+3)
14 28 57 x 718 = 1 02 57 13 26 (El 57 queda intacto; el 13+1=14 y 26+02=28)
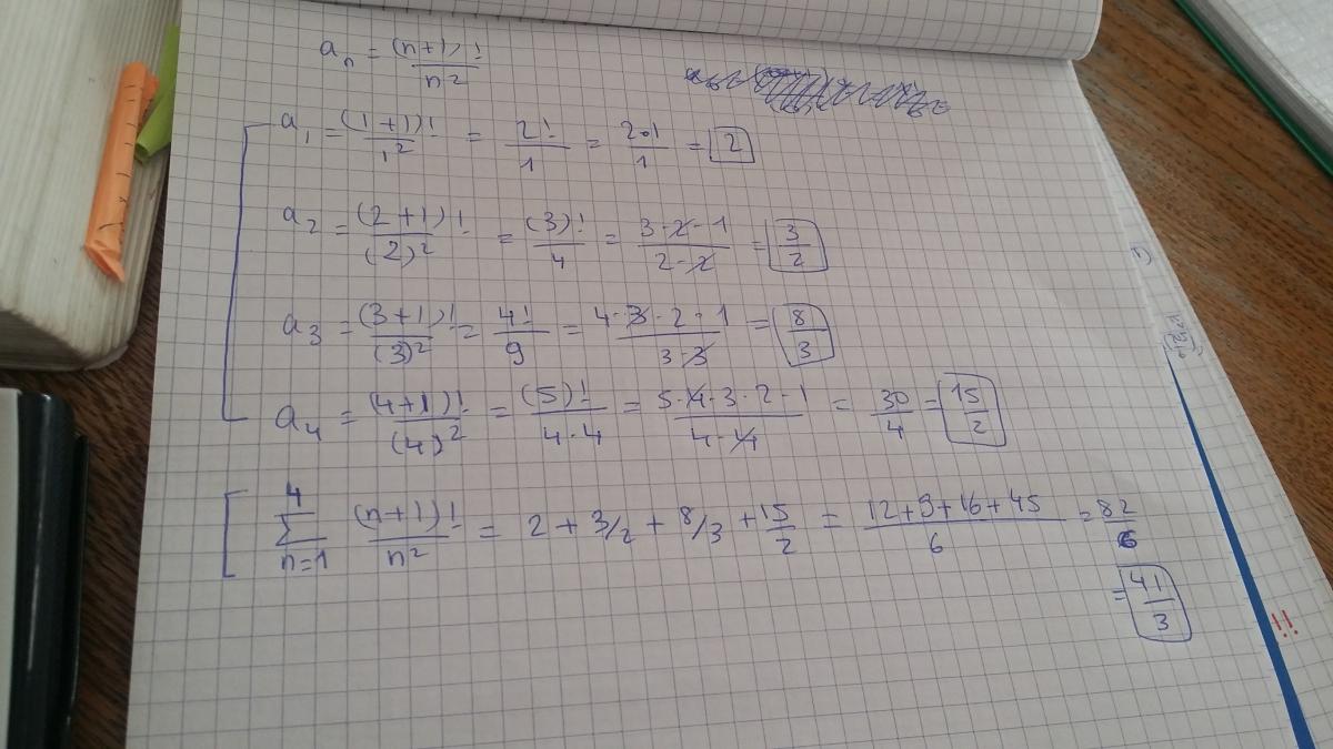
Podrían ayudarme con esta integral ∫(2x²+5)dx
Me piden resolverla por cambio de variable como podria resolverla? Gracias

Observa que la expresión de la función a integrar puede escribirse:
2x2 + 5 = 5*(2x2/5 + 1) = 5*( (√(2/5)*x)2 + 1 ) (1),
luego puedes proponer la sustitución (cambio de variable):
w = √(2/5)*x (1), de donde tienes:
dw = √(2/5)*dx, y también tienes:
√(5/2)*dw = dx, y al sustituir en la expresión señalada (1) tienes:
2x2 + 5 = 5*(w2 + 1),
luego pasamos a la integral:
I = ∫ (2x2 + 5)*dx = sustituimos = ∫ 5*(w2 + 1)*√(5/2)*dw = extraemos factores constantes:
= 5*√(5/2)*∫ (w2 + 1)*dw = integramos:
= 5*√(5/2)*(w3/3 + w) + C = y solo falta que sustituyas la expresión señalada (1) para concluir la tarea.
Espero haberte ayudado.
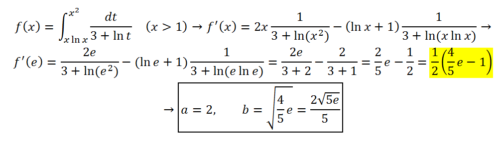
Buenas noches, tenías razón David era otro enunciado. Este es el correcto, esta mal que trate de hallar la intersección despejando P(M/S)? ![]()

Indicamos el complemento de un suceso S como: S '.
Tienes, a partir de tu enunciado:
p(M) = 9/25 = 0,36;
p(S) = 8/25 = 0,32;
p( (MuS) ' ) = 10/ 25 = 0,40;
luego, puedes plantear a partir de la tercera ecuación:
1 - p(MuS) = 0,40, de donde podemos despejar: 0,60 = p(MuS).
Luego, planteamos:
p(MuS) = p(M) + p(S) - p(M∩S) = x, reemplazamos valores y queda:
0,60 = 0,36 + 0,32 - p(M∩S), hacemos pasajes de términos y queda:
p(M∩S) = 0,08.
Luego, planteamos la probabilidad condicional:
p(M/S) = p(M∩S) / p(S), reemplazamos valores y queda:
p(M/S) = 0,08/0,32 = 0,25.
Espero haberte ayudado.
Es verdad tenia mal el enunciado, este seria... le agradeceria si me ayudan :) desde ya muchas gracias