Foro de preguntas y respuestas de Matemáticas

logo beUnicoos
Los foros de unicoos se han unificado en nuestra nueva plataforma beUnicoos. Para dejar nuevas preguntas deberás hacerlo allí, donde además podrás encontrar nuevas asignaturas y herramientas para ayudarte más con tus estudios.

  • icon

    Daisy
    el 18/4/17

    Me ayudais con este ejercicio?

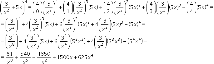
    --Desarrollar la potencia (3/x²  + 5x)^4 utilizando la fórmula del binomio de newton.    (^4 significa elevado a 4)

    Pasadme una foto porfa , muchas gracias!!

    replythumb_up0 voto/sflag
    icon

    Antonio
    el 18/4/17

    icon

    Daisy
    el 18/4/17

    Ya he visto el video, queria foto de este en concreto ya que no me da el resultado

    thumb_up0 voto/sflag
    icon

    Antonio
    el 18/4/17


                                

    thumb_up0 voto/sflag
  • icon

    Guillem De La Calle Vicente
    el 18/4/17

    ¿Qué es la proyección perpendicular de un punto sobre una recta?

    replythumb_up0 voto/sflag
    icon

    Guillem De La Calle Vicente
    el 18/4/17

    Maths, tienes material escrito y no un vídeo? Gracias


    thumb_up0 voto/sflag
    icon

    Antonius Benedictus
    el 18/4/17


    thumb_up0 voto/sflag
  • icon

    Daisy
    el 18/4/17

    Hola, voy a tener pronto un examen de matematicas y necesito que me ayudeis con este ejercicio.

    -Simplifica la siguiente expresión:                      (El simbolo / es partido)

      1/√5   -   1/√5 -1   +   √5 +1

    Podeis pasarme una foto para ver los pasos?

    Muchas gracias!!


    replythumb_up0 voto/sflag
    icon

    Antonio
    el 18/4/17


    thumb_up1 voto/sflag
    icon

    Daisy
    el 18/4/17

    Muchas gracias. Por cierto la solucion es de algun solucionario, me puedes decir cual si es asi? Gracias

    thumb_up0 voto/sflag
    icon

    Antonio
    el 18/4/17

    No Silvia, el ejercicio lo hice para ti.

    thumb_up0 voto/sflag
  • Usuario eliminado
    el 18/4/17

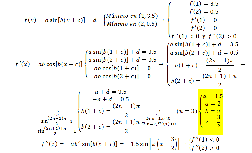
    Como se encuentra la variable "a"? 


    replythumb_up0 voto/sflag
    icon

    Neofito 007
    el 18/4/17

    "a' es la amplitud es la mitad de la diferencia del valor maximo menos el mínimo 

    a= 0.5 ( 3.5 - 0.5)=1.5

    "d" es el desplazamiento vertical , antes de hacer el desplazamiento vertical el máximo valor era a=1.5 pero luego el máximo es 3.5 , entonces d=3.5-1.5=2

    thumb_up1 voto/sflag

    Usuario eliminado
    el 18/4/17

    Hola, muchísimas gracias! Y la  b ?

    thumb_up0 voto/sflag
    icon

    Antonius Benedictus
    el 18/4/17


    thumb_up2 voto/sflag
    icon

    Neofito 007
    el 18/4/17

    El coeficiente de x se relaciona en el cálculo  del periodo , b es el coeficiente

    Periodo = 2*pi / abs(b)

    Donde abs es valor absoluto , considerando b positivo y además de la gráfica se observa que el periodo es T =2

    2=2*pi / b 

    De allí que b = pi


    thumb_up1 voto/sflag
  • icon

    Celia
    el 18/4/17

    Hola,¿ podríais decirme como puedo resolver este problema? ¿Cuantos litros de leche con un 10% de grasa hemos de mezclar con otra leche que tenga un 4% para obtener 18 litros con un 6% de grasa? Gracias de ante mano.

    replythumb_up0 voto/sflag
    icon

    Antonio
    el 18/4/17

    Sea x los litros de lecha entera (10%) e y los litros de leche desnatada(4%)

    Al mezclarlas obtenemos 18 litros de leche semidesnatada(6%)

    por lo que:

    x+y=18

    y además:

    0.1x+0.04y=0.06·18 => 10x+4y=108

    por lo tanto:

    x+y=18

    10x+4y=108

    resolviendo el sistema:

    x=6

    y=12

    6 litros de leche con un 10% de grasa y 12 litros leche con un 4%


    thumb_up2 voto/sflag
  • icon

    Juan
    el 18/4/17

    Urgente por favor!!!!! Cuál es la función derivada de y= senx+cosx/1-senx


    replythumb_up0 voto/sflag
    icon

    Ángel
    el 18/4/17

    y= (senx+cosx)/1-senx

    y= senx+(cosx/1-senx)

    y= senx+cosx/(1-senx)


    ??

    thumb_up0 voto/sflag
  • icon

    María
    el 18/4/17


    replythumb_up0 voto/sflag

    Usuario eliminado
    el 18/4/17

    Lo viste? 


    El caso es hallar ecuaciones con "h" para luego encontrar el valor de la variable. 

    Como no nos indican el valor del lado BQ, lo podemos denominar como x: BQ= x. 

    Para hallar ecuaciones con "h" puedes usar las formulas de trigonometría.

             sino de un angulo= (lado opuesto de un angulo) / (hipotenusa del triangulo con el angulo)

             cosino de un angulo= (lado adjunto al angulo) / (hipotenusa del triangulo con el angulo)

             tangente de un angulo=(lado opuesto de un angulo) / (lado adjunto al angulo)

    Identifica cada parte del dibujo con relación a beta: 

    - El lado adjunto del angulo beta es BQ o como lo acabamos de llamar "x"

    - El lado opuesto al angulo beta es PQ o "h" 

    - La hipotenusa del triangulo con el angulo beta es el lado PB

    Como acabamos de llamar los lados "x" y "h", podemos usar la formula de la tangente: 

         tangente (beta) = (h) / (x) 

         tangente ( 58° ) = h/ x

         1.6= h / x

          h= 1.6 x

    La pregunta dice que avanza 40 metros hacia delante desde el punto en el que cuando mira hacia arriba hay un angulo alfa (punto A) hasta donde cuando mira hacia arriba hay un angulo beta (punto B). Por lo tanto, la distancia AB es 40 metros y la distancia AQ = AB + BQ= 40 + x

    Como te dan el angulo alfa y sabemos que AQ es 40 + x , puedes usar de nuevo la formula de la tangente para encontrar el valor de "h". 

    *** La razon por la que tienes que intentar de encontrar otra ecuacion con "h" es porque no sabemos la distancia "x"  *****

    Para encontrar el valor de la tangente de alpha, identifica cada parte del dibujo con relación a alpha:

        el lado opuesto a alfa es h 

        el lado adjunto a alfa es AQ o 40+ x

        la hipotenusa a alfa es AP 

    Despues, sustituye cada parte en la formula de la tangente de alfa 

    tangente (alfa) = tangente (31°) = (h) / (40+ x) 

    0.6 = h / (40 + x) 

    h= 0.6( 40+ x) = 24+ 0.6 x 

    h= 24+0.6 x

    Usa las dos ecuaciones de h y encuentra x , como en la foto que envié. 

    Una vez que encuentras x, sustituye x en una de las ecuaciones de "h" ( yo lo hice en la foto con la ecuacion de h que obtenemos al principio) y encuentra su valor!  

    thumb_up1 voto/sflag
    icon

    María
    el 18/4/17

    Muchas gracias, Andrea.

    thumb_up0 voto/sflag
  • icon

    Lucía Sánchez
    el 18/4/17


    replythumb_up0 voto/sflag
    icon

    Ángel
    el 18/4/17


    thumb_up0 voto/sflag
    icon

    Cristian Schmidt
    el 18/4/17

    a) 1+log3 (x+1)=0

    log3 (x+1)=-1

    x+1= 3-1  

    x=1/3 -1

    x=-2/3


    thumb_up0 voto/sflag
    icon

    Ángel
    el 18/4/17

    En la que te mandé antes, en la g) faltaría comprobar en la ecuación original que x=7 la verifica: lo hace, es una respuesta Verdadera.

    thumb_up0 voto/sflag
    icon

    Cristian Schmidt
    el 18/4/17


    thumb_up0 voto/sflag
    icon

    Ángel
    el 18/4/17

    En la f) todo está bien excepto que al final tienes que poner x=9/2   <-----------solución

    Ya que en x=2 no está definida porque el log(-1) "no existe"

    Sorry!


    thumb_up0 voto/sflag
    icon

    Cristian Schmidt
    el 18/4/17

    perdón si no se ve muy bien, capas algo podes salvar

    thumb_up0 voto/sflag
  • icon

    sandra rubio
    el 18/4/17

    Hola, me podrían ayudar con este ejercicio. Gracias.

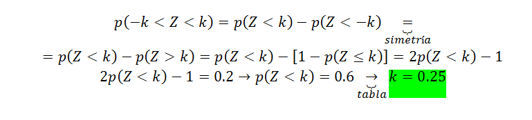
    Calcula el valor de K en una distribución N(0,1)

    P(-k<z<K)=0,2

    replythumb_up0 voto/sflag
    icon

    Antonius Benedictus
    el 18/4/17


    thumb_up0 voto/sflag
  • icon

    María
    el 18/4/17

    Ayuda con este ejercicio por favor, Antonio Benito. Estamos empezando trigonometría y tengo muchas dudas. Además, no hay suficientes vídeos para los distintos modelos de problemas. Gracias de antemano. Un saludo.




    replythumb_up0 voto/sflag

    Usuario eliminado
    el 18/4/17


    thumb_up0 voto/sflag
    icon

    María
    el 18/4/17

    Muchas gracias, pero no he entendido el procedimiento.

    thumb_up0 voto/sflag
    icon

    Cristian Schmidt
    el 18/4/17

    podes hacer todo con tg. primero deves hacer dos funciones con la altura (h) y despues igualarlas para que solo te quede una incognita (la distancia de B a Q) una ves que obtienes la distancia de B a Q entonces puedes hacer que tg(31º)=h/64m reemplazas y sacas que h= a 38,5m (los 64m son los 40m + BQ)

    thumb_up0 voto/sflag
    icon

    María
    el 18/4/17

    Sigo sin entenderlo, lo siento.

    thumb_up0 voto/sflag

    Usuario eliminado
    el 18/4/17

    El caso es hallar ecuaciones con "h" para luego encontrar el valor de la variable. 

    Como no nos indican el valor del lado BQ, lo podemos denominar como x: BQ= x. 

    Para hallar ecuaciones con "h" puedes usar las formulas de trigonometría.

             sino de un angulo= (lado opuesto de un angulo) / (hipotenusa del triangulo con el angulo)

             cosino de un angulo= (lado adjunto al angulo) / (hipotenusa del triangulo con el angulo)

             tangente de un angulo=(lado opuesto de un angulo) / (lado adjunto al angulo)

    Identifica cada parte del dibujo con relación a beta:

    - El lado adjunto del angulo beta es BQ o como lo acabamos de llamar "x"

    - El lado opuesto al angulo beta es PQ o "h"

    - La hipotenusa del triangulo con el angulo beta es el lado PB

    Como acabamos de llamar los lados "x" y "h", podemos usar la formula de la tangente: 

         tangente (beta) = (h) / (x) 

         tangente ( 58° ) = h/ x

         1.6= h / x

          h= 1.6 x

    La pregunta dice que avanza 40 metros hacia delante desde el punto en el que cuando mira hacia arriba hay un angulo alfa (punto A) hasta donde cuando mira hacia arriba hay un angulo beta (punto B). Por lo tanto, la distancia AB es 40 metros y la distancia AQ = AB + BQ= 40 + x

    Como te dan el angulo alfa y sabemos que AQ es 40 + x , puedes usar de nuevo la formula de la tangente para encontrar el valor de "h". 

    *** La razon por la que tienes que intentar de encontrar otra ecuacion con "h" es porque no sabemos la distancia "x"  *****

    Para encontrar el valor de la tangente de alpha, identifica cada parte del dibujo con relación a alpha:

        el lado opuesto a alfa es h 

        el lado adjunto a alfa es AQ o 40+ x

        la hipotenusa a alfa es AP 

    Despues, sustituye cada parte en la formula de la tangente de alfa 

    tangente (alfa) = tangente (31°) = (h) / (40+ x) 

    0.6 = h / (40 + x) 

    h= 0.6( 40+ x) = 24+ 0.6 x 

    h= 24+0.6 x

    Usa las dos ecuaciones de h y encuentra x , como en la foto que envié.

    Una vez que encuentras x, sustituye x en una de las ecuaciones de "h" ( yo lo hice en la foto con la ecuacion de h que obtenemos al principio) y encuentra su valor!  

    thumb_up0 voto/sflag
    icon

    María
    el 18/4/17

    Muchas gracias. Ahora sí.

    thumb_up0 voto/sflag