
Me encantaría ayudarte, pero no respondo dudas universitarias que no tengan que ver específicamente con los videos que ya he grabado como excepcion. O de otras asignaturas que no sean matemáticas, física y química. Lo siento de corazón… Espero lo entiendas
Ojalá algun unicoo universitario se anime a ayudarte (de hecho lo ideal es que todos los universitarios intentarais ayudaros los unos a los otros)
Hola a todos, necesito resolver la ecuación (2x - 3)3 (3x - 2)4 = 0. Estoy bloqueado en ésta en particular.
No puedo aplicar logaritmos por tener 0 a la derecha, no veo el cambio de variable y = 2x

Por ejemplo resolviendo el primero
(2^x - 3)^3=0
Acá no puedes tomar logaritmo tal como está hay q emplear los conocimientos , una potencia es cero si su base es cero , entonces
2^x - 3 = 0
Se despeja
2^x = 3
Se toma logaritmo en base 2 ambos lados para hallar x
x = log_2 (3)
Similar el otro

Siguiendo su problema, lo he intentado resolver, en el primer caso (2^x-3)^3 con el cambio de variable y propiedades de los logaritmos, llego a que x =log 3/log2 que da, sin embargo al sustituir, no me da 0 dentro de los parentesis
(2^x-3)^3 =0 cambio de variable, entonces 2^x = u
u-3=0 ; u=3
Si u =3 entonces 2^x=3, aplico logaritmos
log 2^x = log 3 ; xlog2 = log3 ; x =log3/log2
La solucion, al pornerlo en x, no me sale

Pero si tenemos en cuenta que P= 3*t, en tres horas se habrían enterado solo 9 personas pero en realidad se habrían enterado 31 porque una persona se lo manda a tres, pero luego esas tres se lo mandan a tres personas cada uno con lo cual en esta última hora se habrían enterado 9 personas y en las dos horas en total 13 asi que en tres horas serían 31 y no 9. Con lo cual la ecuación P=3*t no es correcta.
Estoy pillado con este problema, si alguien me puede ayudar se lo agradecería.
Tengo que calcular la altura de h de un triángulo pequeño, sabiendo que tiene 21 cm2 de superfice.
Muchas gracias.
Muchas gracias por vuestras respuestas,, la verdad es que me ha servido de mucho ya que no tenía claro como enfocarlo para resolverlo.
Me surge una duda..., en la resolución de Julio, el paso de "siete-tercios de h" multiplicado por "h", no me queda claro el por qué de esa multiplicación.
Si me lo podéis aclarar os lo agradecería, si no, no pasa nada...le daré vueltas a ver si puedo sacarlo,... ya me habéis ayudado bastante y no quiero abusar.
Gracias.
Hola, me podéis ayudar con este ejercicio. Gracias.
En un saco mezclamos judías blancas y pintas en la relación de 14 blancas por cada pinta. Extraemos al azar un puñado de 100 judías, ¿Cuál es la probabilidad de que haya entre 5 y 10 judías pintas en el puñado?
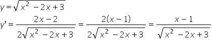
tengo que hacer la derivada del coseno de (7-2x) se que la derivada del coseno es -sen de x pero no se seguir alguien me ayuda?
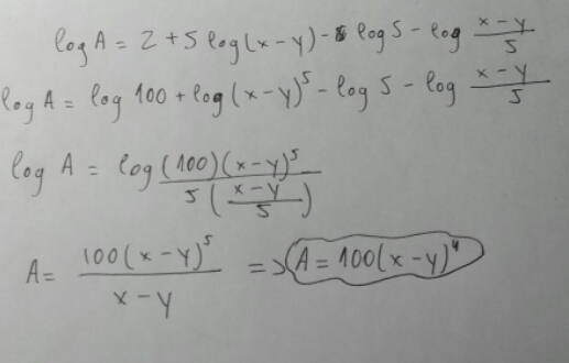
No entiendo muy bien los logaritmos, me podeis resolver este ejercicio?
-- Pasar a forma algebraica la siguiente expresión logaritmica y obtener A.
logA=2 + 5log(x-y) - log5 - log x+y/5
Como se haria el paso contrario, es decir, si me dan la forma algebraica. Podriais resolvermelo con este mismo ejemplo?
Muchas gracias!!!