SALUDOS! tengo una duda con una funcion, me pide que halle los valores de A y B para que la funcion sea continua, lo he intentado desarrollar pero no me convence el resultado y ya no se si es en realidad una funcion derivable o los valores dan 0 para A y B espero me lo podais aclarar porque me esta resultando un verdadero quebradero de cabeza... muchas gracias!!
hola, no se que propiedad aplicar al numerador 2-√(x-3) para que después pueda simplificar con lo de abajo. por favor alluda

Puedes multiplicar al numerador y al denominador por (2 +V(×-3)), luego distribuyes en el numerador, factorizas el denominador inicial (observa que es una resta de cuadrados perfectos), y veras que podras simplificar.
Haz el intento.y, si es preciso no dudes en volver a consultar.
Espero haberte ayudado.
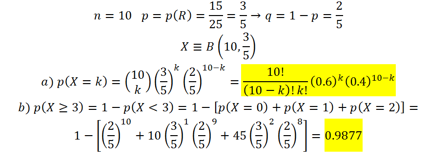
Hola, buenas tardes. Alguien me puede ayudar con este pequeño problema de probabilidad por favor?
Se los agradecería mucho, saludos !!!

Observa que tienes una distribución de probabilidad binomial cuyos parámetros son:
n = 10 (se realizan diez jugadas),
p = 15/25 = 0,6 (probabilidad que en una jugada salga un número rojo),
q = 10/25 = 0,4 (probabilidad que en una jugada no salga un número rojo).
a)
Planteamos:
p(X = k) = C(n,k)*pk*qn-k, reemplazamos valores y queda:
p(X = k) = C(10,k)*0,6k*0,410-k.
b)
p(X ≥ 3) = 1 - p(X < 3) = 1 - ( p(X = 0) + p(X = 1) + p(X = 2) ), aplicamos la expresión remarcada y queda:
p(X ≥ 3) = 1 - ( C(10,0)*0,60*0,410 + C(10,1)*0,61*0,49 + C(10,2)*0,62*0,48 ), resolvemos los números combinatorios ( recuerda que C(n,k) = n! / k!*(n-k)! ) y queda:
p(X ≥ 3) = 1 - ( 1*0,60*0,410 + 10*0,61*0,49 + 45*0,62*0,48 ),
y solo queda que hagas el cálculo.
Espero haberte ayudado.
Esta es la gráfica de f(x)
Para dibujar una gráfica completa tienes que hallar dominio, discontinuidades, crecimiento/decrecimiento, asíntotas, puntos de corte con los ejes, concavidad/convexidad y máximos/mínimos.
Si tienes algún problema a la hora de resolver algún apartado no dudes en preguntar.


Simple en en esa ecuación siempre trata de darle forma a un binomio al cuadrado 2(x+1)2+2 el +2 indica desplazamiento vertical(hacia arriba) mientras que el +1 indica desplazamiento horizontal (hacia a la izquierda) y el punto de corte se obtiene cuando la ecuación lo evalúas en 0 quedándote 4 y esa seria la gráfica de la función
Al trabajar con una inecuacion, si multiplicamos toda la ecuacion por - el "mayor que" se trasnforma el "menor que" y vicerversa ? pasa lo mismo al pasar una x de un miembro a otro y con valores absolutos ?
Por ejemplo x > 2
esta bien asi -x < -2
o
2<x

Recuerda las propiedades de las desigualdades y de las inecuaciones:
- el pasaje de términos no modifica la desigualdad;
- el pasaje de factor positivo como divisor no modifica la desigualdad,
- el pasaje de factor negativo como divisor si modifica la desigualdad,
- multiplicar en ambos miembros por un número positivo distinto de cero no modifica la desigualdad,
- multiplicar en ambos miembros por un número negativo distinto de cero si modifica la desigualdad.
Vamos al ejemplo que propones:
x > 2, multiplicas por -1 en ambos miembros (observa que si cambia la desigualdad) y queda:
- x < - 2, luego haces pasaje de término numérico (observa que no cambia la desigualdad) y queda:
- x + 2 < 0, luego haces pasaje de término literal (observa que no cambia la desigualdad) y queda:
- 2 < - x;
y observa que todas las inecuaciones remarcadas son equivalentes.
Espero haberte ayudado.

Tienes razón, se me han deslizado errores al tipear, transcribo, corrijo la cadena de inecuaciones remarcadas, y agrego una inecuación equivalente más:
x > 2, multiplicas por -1 en ambos miembros (observa que si cambia la desigualdad) y queda:
- x < - 2, luego haces pasaje de término numérico (observa que no cambia la desigualdad) y queda:
- x + 2 < 0, luego haces pasaje de término literal (observa que no cambia la desigualdad) y queda:
2 < x,
y si luego multiplicamos en ambos miembros de la inecuación por - 1 (observa que cambia la desigualdad) queda:
- 2 > - x.
y observa que todas las inecuaciones remarcadas son equivalentes.
Ahora si, y muchas gracias por permitirme corregir.
Buenas tardes quería saber si voy bien... El ejercicio me pedia: clasificar, indicar raices, intervalos de crecimiento y decrecimiento, conjunto de negatividad y positividad... Desde ya muchas gracias

Por favor, verifica que tu enunciado esté correcto y completo para que podamos ayudarte, porque en la imagen las dos ramas de la función están definidas para valores de x mayores o iguales que cero. Observa que si está bien definida, una rama comprende los valores de x mayores o iguales que cero, y la otra comprende los valores menores que cero.
Hola! tengo ese ejercicio en el que hay que responder dando contraejemplos y no se me ocurre como responder la pregunta a y c . En la pregunta b utilice de contraejemplo la función cubica con imagen en 2, no se si habré hecho bien.

a)
Puedes considerar la función cuya expresión es:
f(x) = - 4*|x - 2| =
-4*(x - 2) si x - 2 ≥ 0
-4*( -(x - 2) ) si x - 2 < 0
resuelves productos, distribuyes y queda:
f(x) =
- 4x + 8 si x ≥ 2
4x - 8 si x < 2
observa que la función es continua en R, y que la expresión de su derivada queda:
f ' (x) =
- 4 si x > 2
no está definida si x = 2
4 si x < 2
Luego, observa que la función es creciente para valores menores que 2, y observa que es decreciente para valores mayores que 2, por lo que tienes que la gráfica de la función presenta un máximo en x = 2, pero observa que la función derivada no está definida para dicho valor (puedes probar que las derivadas laterales no coinciden para x = 2, luego haz un gráfico, y verás que la gráfica de la función presenta un punto anguloso para x = 2).
b)
Puedes considerar la función cuya expresión es:
f(x) = senx, que es continua en R, luego la expresión de su derivada es:
f ' (x) = cosx, que está definida en todo R, luego la expresión de la derivada segunda de la función es:
f ' ' (x) = - senx.
Observa que la función derivada no se anula para x = 0, ya que tienes: f ' (0) = cos(0) = 1 ≠ 0,
pero observa que la gráfica de la función presenta una inflexión para x = 0, que puedes visualizar al evaluar la expresión de la derivada segunda para dicho valor y para dos valores cercanos, uno menor y otro mayor que él (tomamos los valores x = -π/6 y x = π/6, y observa que la expresión de la derivada segunda de la función se anula en un único punto intermedio entre ellos: x = 0):
f ' ' (-π/6) = - sen(-π/6) = - (-1/2) = 1/2 > 0,
por lo que tenemos que la gráfica de la función es cóncava hacia arriba para valores de x ligeramente menores que cero;
f ' ' (π/6) = - sen(π/6) = - 1/2 < 0,
por lo que tenemos que la gráfica de la función es cóncava hacia abajo para valores de x ligeramente mayores que cero;
por lo que tienes que la gráfica de la función presenta una inflexión en x = 0 y tienes que f ' (0) ≠ 0.
c)
Puedes considerar la función a trozos:
f(x) =
2x si x < 0
x2 si x ≥ 0
observa que es continua en R, y que la expresión de su función derivada queda:
f ' (x) =
2 si x < 0
no está definida si x = 0
2x si x > 0
observa que la derivada toma valores positivos para x menor que cero y para x mayor que cero, pero observa que no está definida par x igual a cero (puedes ver que sus derivadas laterales no coinciden), y observa también que la gráfica de la función es creciente en todo R, pero f ' (2) no está definida. Haz un gráfico, y verás que la gráfica de la función presenta un punto anguloso en x = 0.
Espero haberte ayudado.
Hola, me pueden ayudar con este limite, lo he hecho de varias formas y lo únicoque consigo es que eéltermino se vaya hhaciendo mas grande, aplicando lopital tengo que hacerlo. Pero siempre me sale forma indeterminada. Ahí esta una de las formas en que intente hacerlo

Tienes un límite indeterminado, con un argumento fraccionario, en el que el numerador (N) tiende a - infinito, y el denominador (D) tiende a + infinito.
Luego, plantea las derivadas primeras del numerador y del denominador por separado (observa que debes aplicar la Regla de la Cadena):
N = ln(1-2x),
cuya derivada primera queda:
N ' = -2/(1-2x) (observa que tiende a infinito cuando x tiende a 1/2);
D = tan(πx),
cuya derivada primera queda:
D ' = π/cos2(πx) (observa que tiende a infinito cuando x tiende a 1/2).
Luego, planteamos la Regla de L'Hôpital:
Lím(x→1/2) ln(1-2x)/tan(πx) = como es indeterminado, aplicamos la regla y queda:
= Lím(x→1/2) -2/(1-2x) / π/cos2(πx) = resolvemos la división en el argumento y queda:
= Lím(x→1/2) -2*cos2(πx) / π*(1-2x) =
observa que el numerador tiende a cero y que el denominador tiende a cero, por lo que volvemos a aplicar la Regla de L'Hôpital (recuerda que derivamos independientemente el numerador con la Regla de la Cadena, y el denominador en forma directa, no se trata de la derivada de un cociente) y queda:
= Lím(x→1/2) 4*cos(πx)*sen(πx) / (-2π) =
observa que el numerador tiende a cero y que el denominador es constante, por lo que queda:
= 4*1*0/(-2π) = 0/(-2π) = 0.
Espero haberte ayudado.
Hola, el último de mi guía y que no se me ocurrió qué hacer. Si alguien me puede ayudar por favor, es de EDO.
Sea L un operador diferencial lineal de orden n con coecientes constantes.
Determine una solucion de la EDO L(y) = 0 si se sabe que L(x + ex) = sen(x) y L(e-3x) = 7cos(x).
(es e elevado a x, e elevado a -3x, respectivamente)

Me encantaría ayudarte, pero no respondo dudas universitarias que no tengan que ver específicamente con los videos que ya he grabado como excepcion. O de otras asignaturas que no sean matemáticas, física y química. Lo siento de corazón… Espero lo entiendas
Ojalá algun unicoo universitario se anime a ayudarte (de hecho lo ideal es que todos los universitarios intentarais ayudaros los unos a los otros)