Buenas tardes necesitaría si alguien me ayuda a resolver esto o indicarme que vídeo debo ver para aprender a resolverlo

Recuerda la expresión general para la función cosenoidal:
F(x) = A*cos(kx - Φ) + y0; donde:
A indica la amplitud,
k es el coeficiente angular, que puede expresarse: k = 360°/T, donde T es el periodo,
Φ es la fase inicial (expresada en grados),
y0 es el desplazamiento vertical.
Luego, pasamos a la expresión de la función del enunciado:F(x) = 2*cos(3x - 50°) + 5;
luego comparamos con la expresión general remarcada y queda:
A = 2 (amplitud),
k = 3 (coeficiente angular), de donde tenemos: 3 = 360°/T, de donde despejamos: T = 360°/3 = 120° (periodo);
Φ = 50° (fase inicial);
y0 = 5 (desplazamiento vertical),
luego, para determinar el desplazamiento horizontal, planteamos que el argumento del coseno es igual a cero, y tenemos:
3x - 50° = 0, de donde despejamos: x = 50°/3 ≅ 16,666...°
Espero haberte ayudado.
Hola Unicoos,
Tengo un poco de lío, no sé qué diferencia hay entre las derivadas elementales y compuestas. Las derivadas elementales solo tienen una (x) y las compuestas tienen además sumas y restas??? o cómo es?
Podríais ponerme ejemplos para aclararme.?
Muchas gracias
Para empezar...
Derivadas elementales:
http://www.vitutor.com/fun/4/b_1.html
Derivadas compuestas(regla de la cadena):
http://www.unicoos.com/video/matematicas/1-bachiller/derivadas/regla-de-la-cadena/derivada-de-una-funcion-00-regla-de-la-cadena (y sucesivos)
Buenas tardes. ¿Podría alguien ayudarme a resolver este problema? He intentado plantearlo pero no hay manera:
El perímetro de un rectángulo es 30 cm. Si se toma un cuadrado cuyo lado mide lo mismo que dos largos y un ancho del rectángulo, el perímetro de este cuadrado es 96 cm. Halla las dimensiones del rectángulo y el lado del cuadrado.
Hay que resolverlo mediante sistemas de ecuaciones (Igualación, Reducción o sustitución)
Muchas gracias.
Sea el rectangle con base x y altura (o ancho) y
Su perímetro será por un lado 2x+2y y por otro 30, por lo que: 2x+2y=30
Pasemos ahora al cuadrado
Su lado medirá 2x+y
por lo que su perímetro medirá: 4(2x+y) pero también 96, por lo que: 4(2x+y)=96
Ya tenemos las dos ecuaciones:
2x+2y=30 => x+y=15
4(2x+y)=96 => 8x+4y=96 => 2x+y=24
Resolvamos
...
x=9
y=6
Por lo que el rectángulo tiene 9cm de base y 6 de ancho
y el cuadrado tiene 24 cm de lado
Holaa alguien me podría ayudar a hacer este ejercicio en forma de diagrama de árbol, es que no me aclaro a la forma de hacerlo
Gracias
Alguien podría ayudarme en este ejercicio?
Determinar los extremos relativos de la función f (x , y )=x y2−2 y
Se que hay que hacer la primera derivada parcial de Fx que es y^2 luego de fy que es 2xy - 2 y luego las segundas derivadas parciales de fxx que es 0 de fyy que es 2x de fxy que es 2y y de fyx que es 2y
Luego tengo que hacer los puntos cíiticos igualando la primera derivada parcial de fx y de fy a 0.
Pero aqui me quedo atascado ya que y^2 =0 por lo tanto Y valdría 0 pero en 2xy - 2 = 0 en esta me atasco y no se...
Alguien me podría ayudarme en eso y en acabar el problema?
Un saludo

Me encantaría ayudarte, pero no respondo dudas universitarias que no tengan que ver específicamente con los videos que ya he grabado como excepcion. O de otras asignaturas que no sean matemáticas, física y química. Lo siento de corazón… Espero lo entiendas
Ojalá algun unicoo universitario se anime a ayudarte (de hecho lo ideal es que todos los universitarios intentarais ayudaros los unos a los otros)
Cuanto vale la imagen de e en f(x)= lnx....f'(e)?

Tienes una función cuyo dominio es: D = (0,+∞), luego observa que tienes que e pertenece al dominio, luego planteas:
f(e) = ln(e) = ln(e1) = observa que tienes composición de funciones inversas entre sí = 1.
Recuerda que la función exponencial natural y la función logarítmica natural son inversas entre sí, por lo que se cumple:
ln(eu) = u, y también: elnu = u.
Espero haberte ayudado.
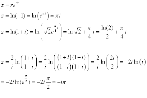
Hola una pregunta alguna me ayuda con este ejercicio(21) es El último que me falta para terminar El repartido, desde ya gracias !

a)
Recuerda que para el número complejo z = -1, tenemos que su módulo es |z| = 1 y su argumento principal es: θ = π (180°);
luego expresamos al número complejo en forma exponencial, y queda: z = 1*eπi = eπi
luego planteamos: lnz = ln(eπi) = πi.
b)
Recuerda que para el número complejo z = 1 + i, tenemos que su módulo es |z| = √(2) y su argumento principal es: θ = π/4 (45°);
luego expresamos al número complejo en forma exponencial, y queda: z = √(2)*e(π/4)i
luego planteamos: lnz = ln(1 + i) = ln( √(2)*e(π/4)i ) = ln( √(2) ) + ln(e(π/4)i) = (1/2)*ln(2) + (π/4)i.
c)
Primero trabajamos con el argumento del logaritmo:
w =(1+i)/(1-i) = (1+i)*(1+i) / (1-i*(1+i) = (1+2i-1)/(1+2i-2i+1) = 2i/2 = i,
luego, observa que su módulo queda: |w| = 1, y su argumento principal es: θ = π/2 (45°),
luego lo expresamos en forma exponencial y queda: w = 1*e(π/2)i = e(π/2)i;
luego planteamos:
z = (2/i)*ln( (1+i)/(1-i) ) = (2/i)*ln(w) = (2/i)*ln( e(π/2)i ) = (2/i)*(π/2)i = 2*π*i / 2*i = π.
Espero haberte ayudado.