Foro de preguntas y respuestas de Matemáticas

logo beUnicoos
Los foros de unicoos se han unificado en nuestra nueva plataforma beUnicoos. Para dejar nuevas preguntas deberás hacerlo allí, donde además podrás encontrar nuevas asignaturas y herramientas para ayudarte más con tus estudios.

  • Usuario eliminado
    el 13/4/17

    En este ejercicio "halla los coeficientes a,b y c de la función f(x)= ax2 + bx + c sabiendo que corta al eje OY en el punto (0,4) y que la recta y=x es tangente a ella en el punto (2,2).


    Las equivalencias serían f(0)=4    f(2) = 2   primera  derivada de 2 = 2. Me gustaría saber si lo estoy empezando  bien.

    replythumb_up1 voto/sflag
    icon

    Antonius Benedictus
    el 13/4/17

  • Usuario eliminado
    el 13/4/17

    hay me vuelvo a quedar

    replythumb_up0 voto/sflag
    icon

    Ángel
    el 13/4/17

    thumb_up0 voto/sflag
    icon

    Ángel
    el 13/4/17

    Se me escapó una equis en el último paso, sería así: 3x2-12x+9,

    que podría factorizarse y quedar (x-1)(x-3) como solución final


    thumb_up0 voto/sflag

    Usuario eliminado
    el 13/4/17

    te lo agradezco Maths de corazón pero ya creo que por mas que miro mas me lio. Haber mañana si lo veo con otros ojos estoy cao.

    Gracias es extraordinaria y admirable vuestra labor.

    Haber mañana que tal, por hoy son mas de 4 horas sin fruto, es lo que me frustra, pero, tengo que seguir, ya pensé en abandonar, pero la tutora, el jefe de estudio me llamaron por teléfono para que continuara y no se, espero no arrepentirme de haberme arrepentido. 

    Un abrazo

    thumb_up0 voto/sflag
    icon

    Ángel
    el 13/4/17

    Ánimo, que los límites sólo los ponemos nosotros mismos :)

    thumb_up1 voto/sflag

    Usuario eliminado
    el 13/4/17

    nunca mejor dicho jajajajaja

    thumb_up0 voto/sflag
  • Usuario eliminado
    el 13/4/17

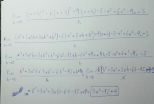
    Ni idea maths me pierdo

    replythumb_up0 voto/sflag
    icon

    Ángel
    el 13/4/17

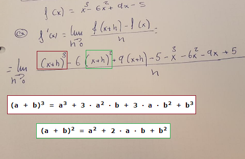
    (x+h)3 = x3+3x2h+3xh2+h3                      Y ahí paras!


    Después de desarrollar las dos identidades notables continúas manipulando hasta llegar al resultado que te puso César.

    thumb_up1 voto/sflag

    Usuario eliminado
    el 13/4/17

    no me aclaro y el examen de derivadas es el martes 18 bufff

    thumb_up0 voto/sflag
  • Usuario eliminado
    el 13/4/17

    holaa ! me podrían ayudar con el  numero 602 por fa 

    replythumb_up0 voto/sflag
    icon

    Antonius Benedictus
    el 13/4/17


    thumb_up0 voto/sflag

    Usuario eliminado
    el 13/4/17

      esa parte no estoy comprendiendo el signo que utilizó usted, por qué sería positivo el 2y ??? muchísimas gracias

    thumb_up0 voto/sflag
    icon

    Antonius Benedictus
    el 13/4/17

    Te puedo asegurar:


    thumb_up0 voto/sflag
  • icon

    mathew
    el 13/4/17

    por favor pueden ayudarme con este problema ?

    replythumb_up0 voto/sflag
    icon

    Antonius Benedictus
    el 13/4/17


    thumb_up1 voto/sflag
  • icon

    Valentina Villegas Picazo
    el 13/4/17

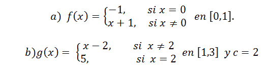
    Buenos días Unicoos , tengo una duda sobre la 9 (a) porque resulta que en clase vimos que el teorema de Bolzano garantiza que si F es continua en [a,b] y f(a) y f(b)  son de signo contrario existirá al menos un C e (a,b) tal que F(c) = 0 , y  problema me dice que no existe ningún número en ese intervalo tal qué su imagen me de como resultado 0 , así que no sabría por dónde empezar.

    muchas gracias 

    replythumb_up0 voto/sflag
    icon

    Antonius Benedictus
    el 13/4/17


    thumb_up0 voto/sflag
  • icon

    Fran Moreno
    el 13/4/17

    ¿Podrian decirme que propiedad tengo que aplicar en 2(x-1)^2

    replythumb_up0 voto/sflag
    icon

    Ángel
    el 13/4/17



    2* [(x2-2*(x)*(1)+1] = 2* (x2-2x+1) = 2x2-4x+2

    thumb_up0 voto/sflag
  • icon

    Antonio Marin
    el 13/4/17

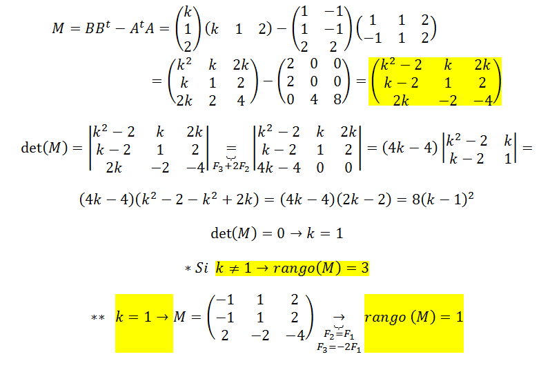
    Alguien me podría resolver este ejercicio y de paso decirme si se podrían multiplicar estas dos matrices? Gracias.

    replythumb_up0 voto/sflag
    icon

    Antonius Benedictus
    el 13/4/17

    Se pueden:

    (3x1)x(1x3)=(3x3)

    (3x2)x(2x3)=(3x3)


    thumb_up0 voto/sflag
  • Usuario eliminado
    el 13/4/17


    replythumb_up0 voto/sflag
    icon

    Antonio
    el 13/4/17

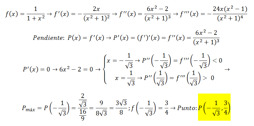
    Debes calcular la pendiente de la recta tangente

    m=f'=-2x/(1+x2)2

    y luego maximizarla

    m'=(6x2-2)/(1+x2)3

    m'=0 => 6x2-2=0 => x= ±√3/3

    m''(+√3/3)>0 => mínimo

    m''(-√3/3)<0 => máximo

    x=-√3/3

    y=3/4

    P(-√3/3,3/4)



    thumb_up0 voto/sflag
    icon

    Antonius Benedictus
    el 13/4/17


    thumb_up0 voto/sflag
  • Usuario eliminado
    el 13/4/17

    Tengo un problema en desarrollar la segunda parte de esta operación. Tengo la solución que mandaste antes pero no se como llegar hasta ella, si alguien me la pudiera explicar paso a paso. como continuar....diosss me vuelvo loco

    replythumb_up0 voto/sflag
    icon

    Ángel
    el 13/4/17


    Tranquilidad Julio.

    thumb_up1 voto/sflag

    Usuario eliminado
    el 13/4/17

    Eso que es una entidad notable, o una formula de las potencias....perdona mi ignorancia pero es que no me aclaro y el fallo creo que lo tengo de base.

    thumb_up0 voto/sflag
    icon

    Ángel
    el 13/4/17

    Identidades notables: http://www.vitutor.com/ab/p/a_9.html

    thumb_up0 voto/sflag

    Usuario eliminado
    el 13/4/17

    haber voy a seguir esa formulita haber si llego a la solución. Gracias

    thumb_up0 voto/sflag
    icon

    Ángel
    el 13/4/17

    A ver si das con ello ;)

    Si no obtienes la solución nos cuentas y te ayudamos.

    thumb_up0 voto/sflag