Hola, donde puedo encontrar ejercicios resueltos, resueltos "parecidos" a como se hacen en los videos, me presento a un global, y evidentemente no puedo verme todos los videos Muchas gracias
http://www.iessantvicent.com/web/index.php/departaments/matematiques/68-continguts/298-mats1-2
Bloque I(completo), Bloque II(completo) y Bloque III (sólo temas 8 y 9)
Buenas tardes,
PROBABILIDAD
¿Podría alguien razonar por qué en el siguiente ejercicio los sucesos son dependientes? ¿Qué hace depender lo que yo saque lanzando un dado?
16. Se lanza un dado cúbico, con sus caras numeradas del 1 al 6, y se anota su puntuación.
Se consideran los sucesos:
A = “salir un número par”, B = “salir un número que es un divisor de 12”
Son dependientes ya que el producto de las probabilidades de ambos sucesos por independiente ((3/6)*(5/6)=15/36=5/12) no es el mismo a la probabilidad de la intersección (3/6, puesto que A = {2, 4, 6}; B = {1, 2, 3, 4, 6} (A ∩ B) = {2, 4, 6}).
En este caso la intersección la obtengo desarrollando los sucesos y observando qué coincide en ambos, pero, en caso de no tener la descripción del suceso y tener solo la probabilidad de forma numérica. ¿Cómo puedo calcular la probabilidad de la intersección de dos sucesos dependientes,(puesto si son independientes es tan simple como realizar el producto de las probabilidades de los sucesos por separado). Me lo podrían resolver aplicado al problema paso a paso?
Muchas gracias de antemano. Espero me ayuden.
Buenas tardes, gracias por contestar pero discrepo en la utilidad de esas fórmulas para resolver mi ejercicio por las siguientes razones:
En primer lugar, empleando la primera fórmula, no dispongo de la probabilidad de la unión. Y la formula de la probabilidad de la unión de sucesos compatibles como es el caso del ejemplo requiere de conocer la probabilidad de la intersección para restarla a la suma de las probabilidades de los sucesos. La primera fórmula por tanto no me sirve.
La segunda fórmula se emplea tanto para sucesos dependientes como independientes siendo en este último caso P(B/A)=P(B) Por tanto me encuentro ante la fórmula P(A∩B)=P(A)·P(B)
Y para el ejercicio a resolver, como son sucesos dependientes, (cosa que razonadamente no entiendo, si alguien puede explicármelo...) debería producirse una variación como ocurre por ejemplo al sacar una bola de una urna sin reposición donde las bolas van disminuyendo de la urna y por tanto la probabilidad varía. Pero en este caso de los dados cómo realizas la variación? No entiendo como usar esas fórmulas en el ejercicio concreto que he propuesto.
GRACIAS DE NUEVO.
En tu ejercicio:
A = “salir un número par” = {2, 4, 6} => P(A) = 3/6
B = “salir un número que es un divisor de 12” = {1, 2, 3, 4, 6} => P(B) = 5/6
A ∩ B = {2, 4, 6} =>P(A∩B) = 3/6
A U B = {1, 2, 3, 4, 6} =>P(AUB) = 5/6
Aplicando la primera fórmula:
P(A∩B)=P(A)+P(B)-P(AUB) = 3/6 + 5/6 - 5/6 = 3/6
y aplicando la segunda:
P(A∩B)=P(A)·P(B/A) = 3/6 · 1 = 3/6
pues P(B/A) = 1 ya que si sabemos que A={2, 4, 6} ha salido entonces B={1, 2, 3, 4, 6} saldrá con toda seguridad
Gracias. Pero para usar la fórmula usted ha tenido que usar la definición de los sucesos. Querría saber como conseguirlo sin necesidad de ello para cualquier situación en la que me den la probabilidad en datos numéricos y no como un suceso descrito. En tal caso ¿Cómo conseguiría solucionar el problema, teniendo solo que P(A) = 3/6 y P(B) = 5/6?
Muchas gracias por su amabilidad
Me podrian decir los extremos de dicha función, es que no me quedan nada claro y si es posible explicarme por qué ese es un extremo
No es un máximo pues a la derecha del (3,2) la gráfica está por encima, es decir (3,00000001, 4) está por encima del (3,2)
No es el caso, pero imagínate que el punto (8,-2) sea un punto blanco y que el punto (8,1) sea un punto negro entonces el punto (8,-2) sería un mínimo, pues no habría alrededor de él ninguno más pequeño.
buenas
me piden en un ejercicio que:
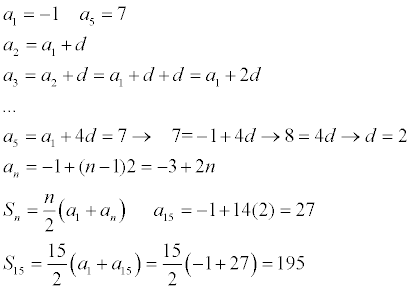
En una progresión aritmética sabemos a1=-1 y a5=7 .Hallar el termino general y calcular la suma de los 15 primeros términos.
por favor desarrollado para ver como se realiza el ejercicio.
gracias de antemano

Contamos los términos a partir de n = 1, y recuerda que las expresiones generales para una progresión aritmética son:
an = a1 + (n - 1)*d, donde d es la diferencia entre un término y su consecutivo (elemento general),
Sn = (a1 + an)*n/2 (suma de los n primeros elementos).
Luego, en tu enunciado tienes:
a1 = - 1 (primer elemento), a5 = 7 (quinto elemento), de aquí tenemos: n = 5,
luego reemplazas en la primera ecuación remarcada y queda:
7 = - 1 + (5 - 1)*d, de donde puedes despejar: 2 = d,
luego, reemplazas los valores del primer elemento y de la diferencia en la primera ecuación remarcada y queda:
an = -1 + (n - 1)*2 = distribuyes = - 1 + 2*n - 2 = reduces términos numéricos = 2*n - 3, que es la expresión del elemento general de la progresión.
Luego, para la suma de los primeros quince elementos, tienes n = 15, a1 = -1, luego reemplazas en la expresión del elemento general y queda:
a15 = 2*15 - 3 = 30 - 3 = 27,
luego reemplazas en la expresión de la suma general y queda:
S15 = (a1 + a15)*15/2 = (-1 + 27)*15/2 = 26*15/2 = 13*15 = 195.
Espero haberte ayudado.
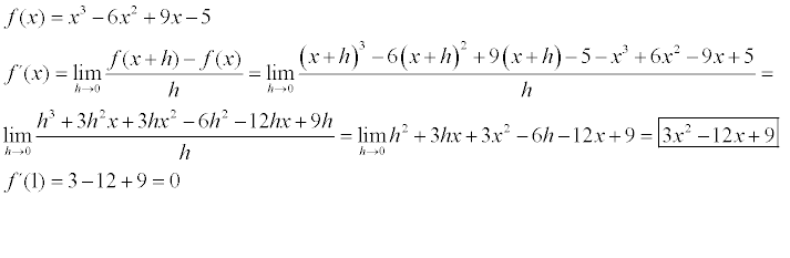
Me piden que halle la derivada de una función en un punto utilizando la definición. Adjunto asta donde he podido llegar, por los videos que he visto y por la teoría que viene en los PDF de únicos.
cuando saco la imagen de f(1+h) es cuando me lio del todo. No se desarrollar la operación. ayuda please.![]()
y=(10+x)3
Hacemos raíz cúbica a ambos lados y queda:
∛y=10+x
Despejamos equis:
x=∛y-10
Para hacer la inversa (llamada y-1 o f-1(x)), cambiamos la y por la equis:
y-1= f-1(x)= ∛x-10
Para obtener la inversa en un punto determinado sólo tenemos que sustituir la x por ese punto (en este caso: los puntos 1 y 8):
f-1(1)= ∛1-10= -9
f-1(8)= ∛8-10= -8

a)
Planteas la condición de corte de la gráfica de la función f (cuyo dominio es R, y cuya imagen es R, por ser una función polinómica con grado impar) con el eje de abscisas:
f(x) = 0, sustituyes la expresión de la función y queda:
x3 - 21x + 20 = 0, observa que x1 = 1 es una raíz, aplicas la Regla de Ruffini, factorizas y queda:
(x - 1)*(x2 + x - 20) = 0,
factorizas el segundo factor (observa que es un polinomio cuadrático cuyas raíces son: x2 = 4 y x3 = - 5) y queda:
(x - 1)*(x - 4)*(x + 5) = 0.
b)
Observa que el dominio de la función g es: Dg = R - {0}, luego escribes la ecuación de su gráfica:
y = 1/x, de donde despejas:
x = 1/y, de donde tienes que la imagen de la función g es: Ig = R - {0}, luego permutass variables y queda:
y = 1/x, que es la ecuación de la gráfica de la función inversa de g, cuya expresión es:
g-1(x) = 1/x, cuyo dominio es D = Ig = R - {0}, y cuya imagen es I = Dg = R - {0}.
Luego pasas a las composiciones:
(f o g-1)(x) = f( g-1(x) ) = f(1/x) = (1/x)3 - 20(1/x) + 20 = 1/x3 - 20/x + 20, cuyo dominio es R - {0}, que coincide con el dominio de la función inversa de g;
(g-1 o f)(x) = g-1( f(x) ) = g-1(x3 - 21x + 20) = 1/(x3 - 21x + 20), cuyo dominio es R - {-5,1,4}, que está incluido en el dominio de la función f.
c)
Plantea la expresión de la derivada de la función f, y queda:
f ' (x) = 3x2 - 21, luego planteas la condición de punto estacionario:
f ' (x) = 0, sustituyes y queda:
3x2 - 21 = 0, haces pasaje de término y queda:
3x2 = 21, haces pasaje factor como divisor y queda:
x2 = 7, haces pasaje de potencia como raíz y tienes dos opciones:
x4 = - √(7) y x5 = √(7).
d)
Evalúas en la expresión de la función derivada y queda:
f ' (- 3) = 3*(- 3)2 - 21 = 27 - 21 = 6 > 0, por lo que tienes que la gráfica de la función f es creciente para x = - 3,
f ' (0) = 3*(0)2 - 21 = 0 - 21 = - 21 < 0, por lo que tienes que la gráfica de la función f es decreciente para x = 0,
f ' (3) = 3*(3)2 - 21 = 27 - 21 = 6 > 0, por lo que tienes que la gráfica de la función f es creciente para x = 3.
e)
Con los puntos estacionarios, puedes establecer intervalos incluidos en el dominio, luego eliges un representante para cada intervalo, y evalúas el signo de la expresión de la función derivada:
( -∞,- √(7) ), representado por x = - 3, y para él has calculado: f ' (- 3) > 0, por lo que tienes que la gráfica de la función f es creciente en este intervalo,
( - √(7), √(7) ), representado por x = 0, y para él has calculado: f ' (0) < 0, por lo que tienes que la gráfica de la función f es decreciente en este intervalo,
(√(7),+∞), representado por x = 3, y para él has calculado: f ' (3) > 0, por lo que tienes que la gráfica de la función f es creciente en este intervalo.
f)
Queda para que lo hagas, y verifiques la validez de las conclusiones.
Espero haberte ayudado.