Buenas tardes.
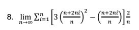
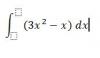
Estaría muy agradecido con la persona que me ayude a aclarar una pequeña duda. Lo que sucede es lo siguiente. El ejercicio que estoy desarrollando me pide que exprese el límite aplicado a una suma de Riemann como una integral definida. A continuación adjunto el ejercicio y el procedimiento que llevé a cabo para encontrar los elementos que me permitan dar solución al problema, como lo son delta de x, equis sub i y a.
Mi duda es la siguiente: ¿Qué puedo hacer con la n que está interviniendo en la expresión obtenida?
Ésta pregunta surge luego de percatarme que probablemente la integral a la cual debo llegar para dar por terminado el ejercicio es:
604 kletenik - Dado el vértice de una parábola A ( -2, -1) y la ecuación de su directriz x+2y-1=0 hallar la ecuación de esta parábola. Envío mi procedimiento, sólo me falta escribir la ecuación de la parábola, intenté igualar PF=PA pero se me eliminan la x e y cuadradas. Muchas gracias![]()
Pista:
1) encuentre la recta s ortogonal a la directriz que pasa por A (este es el eje de simetría de la parábola)
2) encontrar el punto D que es la intersección de r y d.
3) encontrar el foco de la parábola que es el punto F en el eje tal que FA = AD
4) ahora puede escribir la ecuación de la parábola como locus de puntos equidistantes de F y d (ver aquí: https://en.wikipedia.org/wiki/Parabola#General_case )

Has propuesto correctamente la sustitución (cambio de variable):
t = ex, de donde tienes: dt = exdx, luego sustituyes en la integral y queda:
I = ∫ ( 1/(t2 - 1) )dt;
luego, observa que la expresión de la función a integrar puede descomponerse como suma o resta de fracciones simples:
1/(t2 - 1) = 1/ ( (t - 1)(t + 1) ) = a/(t - 1) + b/(t + 1) = ( a(t + 1) + b(t - 1) ) / ( (t - 1)(t + 1) ),
luego, por igualdad entre expresiones algebraicas fraccionarias, tienes que los denominadores son iguales, por lo que igualas los numeradores y queda:
a(t + 1) + b(t - 1) = 1, que es una igualdad entre polinomios, evalúas para dos valores convenientes, por ejemplo t = - 1 y t = 1 y queda:
b(-2) = 1, de donde tienes: b = - 1/2,
a(2) = 1, de donde tienes: a = 1/2.
Luego, la integral queda:
I = ∫ ( (1/2)/(t - 1) - (1/2)/(t + 1) )dt = separamos en términos y extraemos factores consantes:
= (1/2) ∫ ( 1/(t - 1) )dt - (1/2) ∫ ( 1/(t + 1) )dt = resolvemos:
= (1/2)*ln|t - 1| - (1/2)*ln|t + 1| + C = volvemos a sustituir y queda:
= (1/2)*ln|ex - 1| - (1/2)*ln|ex + 1| + C.
Espero haberte ayudado.
buenas de nuevo
he realizado el problema y creo que me da una barbaridad a los 15 años me da 16384 y a los 20 años 20^19
redacto el problema:
Un padre decide colocar 1€ en un baúl el día que su hijo cumple 1 año, e ir duplicando la cantidad sucesivamente en todos los cumpleaños.
¿Cuanto tendrá que colocar el día que su hijo cumpla 15 años?
¿cuanto dinero habrá en el baúl el día que su hijo cumpla 20 años?
por favor desarrollado para ver donde esta mi fallo , por que como os he dicho me sale una barbaridad , creo que es progresión geométrica pues la r=2, ya aplicando termino general me da la cantidad arriba descrita
gracias
Está casi bien. A los 15 años 214= 16384 euros
y a los 20 años 219= 524.288 euros (y no 20^19 como apuntabas)
https://matematicascercanas.com/2014/03/10/la-leyenda-del-tablero-de-ajedrez-y-los-granos-de-trigo/
Buenas tardes, en los ejercios para practicar de matematicas 1º ESO, multiplos y divisores, en la solución del ejercicio 2 los divisores de 198 son: 2,3,4,9,11. Es 6 en lugar de 4.
Divisores de 198.
Para saber cuántos son, primero descomponemos:
198=21*32*111
Vemos que los grados son 1,2 y 1
Fórmula---> (grado1+1)*(grado2+1)*(grado3+1)
sustituimos:
(1+1)*(2+1)*(1+1)= 2*3*2= 12 divisores
Los 12 divisores son: 1,2,3,6,9,11,18,22,33,66,99,198
http://www.vitutor.com/di/di/a_2.html

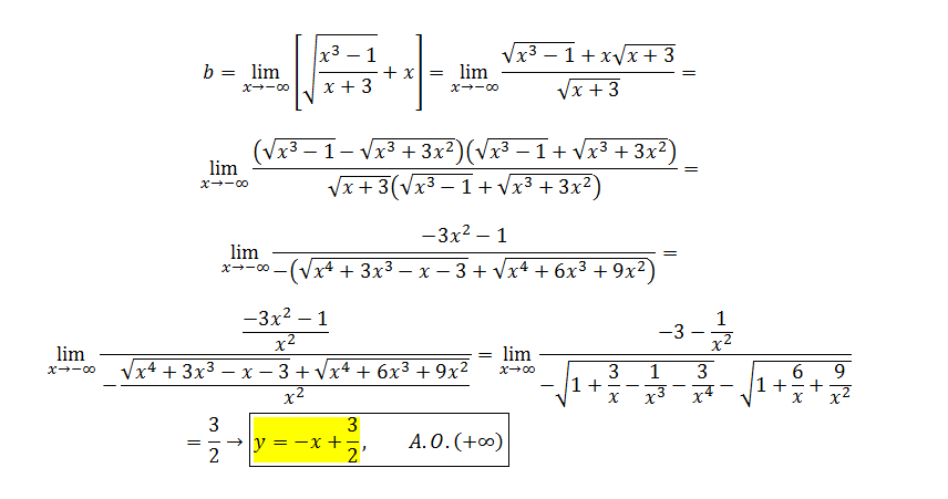
Observa que el denominador en e argumento de la raíz cuadrada debe ser distinto de cero, por lo que x debe ser distinto de -3, y que dicho argumento debe ser positivo, por lo que tienes dos opciones:
1) x3 - 1 ≥ 0 y x > - 3, hacemos pasaje de término en la primera inecuación y queda:
x3 ≥ 1 y x > - 3, hacemos pasaje de potencia como raíz y queda:
x ≥ 1 y x > - 3, que conduce al intervalo: [1,+∞);
2) x3 - 1 ≤ 0 y x < - 3, hacemos pasaje de término en la primera inecuación y queda:
x3 ≤ 1 y x < - 3, hacemos pasaje de potencia como raíz y queda:
x ≤ 1 y x < - 3, que conduce al intervalo: (-∞,-3);
luego, tienes que el dominio de la función es:
D = (-∞,-3) ∪ [1,+∞).
Luego, pasamos al estudio de las posibles asíntotas horizontales y verticales.
a) Lím(x→±∞) √( (x3-1)/(x+3) ) = √( Lím(x→±∞) (x3-1)/(x+3) ) = √( Lím(x→±∞) x3(1 - 1/x3) / x(1 - 3/x) ) = simplificamos potencias:
= √( Lím(x→±∞) x2(1 - 1/x3) / (1 - 3/x) ) = resolvemos = +∞,
por lo que tienes que la gráfica de la función no presenta asíntotas horizontales.
b) Lím(x→-3-) √( (x3-1)/(x+3) ) = √( Lím(x→-3-) ( (x3-1)/(x+3) ) = +∞ (observa que el numerador tiende a -28 y que el denominador tiende a 0 por la izquierda),
por lo que tienes que la gráfica de la función presenta una asíntota vertical superior por izquierda, cuya ecuación es x = -3.
c) f(1) = (13 - 1)/(1 + 3) = 0/4 = 0, y Lím(x→1+) √( (x3-1)/(x+3) ) = 0,
por lo que tienes que la gráfica de la función es continua por derecha para x = 1, y por lo tanto no presenta asíntota vertical en dicho punto.
Espero haberte ayudado.
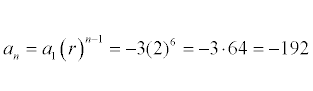
buenas
me surge una duda
estoy realizando un ejercicio para hallar los cuatro términos de la sucesión
-3,6,-12,24 he saco la razón que es -2 , aplicando el termino general en el a7 me da 192 , pero utilizando la razón me da -192 , no lo entiendo
¿podéis explicármelo?
gracias