Foro de preguntas y respuestas de Matemáticas

logo beUnicoos
Los foros de unicoos se han unificado en nuestra nueva plataforma beUnicoos. Para dejar nuevas preguntas deberás hacerlo allí, donde además podrás encontrar nuevas asignaturas y herramientas para ayudarte más con tus estudios.

  • icon

    Paula
    el 27/2/17

    ¿Alguien sabe cómo realizar este ejercicio?


    replythumb_up0 voto/sflag
    icon

    Antonius Benedictus
    el 27/2/17

  • icon

    Rodrigo
    el 27/2/17

    Hola, me podrían ayudar con el número 5, gracias 

    replythumb_up0 voto/sflag
    icon

    Antonius Benedictus
    el 27/2/17


    thumb_up0 voto/sflag
  • icon

    María
    el 27/2/17

    Ayuda con este ejercicio por favor.


    replythumb_up0 voto/sflag
    icon

    Antonius Benedictus
    el 27/2/17

  • icon

    María
    el 27/2/17


    replythumb_up0 voto/sflag
    icon

    Antonius Benedictus
    el 27/2/17

  • icon

    ALOFRE
    el 27/2/17

    Agradecería ayuda para este problema:

    Sistema

    2^(x-1)=3^(y+2)

    (2^(x-1)) / (3^(2y+1))= 3

    replythumb_up0 voto/sflag
    icon

    Antonius Benedictus
    el 27/2/17


    thumb_up0 voto/sflag
    icon

    ALOFRE
    el 27/2/17

    Pero, en este ejercicio no te puede dar un punto del plano concreto?

    thumb_up0 voto/sflag
    icon

    Antonius Benedictus
    el 27/2/17

    En efecto, el resultado es un punto del plano concreto.

    thumb_up0 voto/sflag
  • icon

    jesus lazaro
    el 27/2/17

    Acabo de descubrir UNICOOS.

    Felicidades por la idea, la puesta en marcha de la misma y el éxito que estáis cosechando.

    Los videos son excepcionales, muy didácticos y accesibles.

    Una recomedación:

    - No se si lo tenéis en algún video, pero resultaría muy interesante algún video de apoyo para entender para que sirven determinadas funciones. Por ejemplo un video para entender donde y por qué se aplican las derivadas o las integrales, etc.

    Ayudarían a entender más eficazmente su desarrollo.

    De nuevo., felicidades.


    replythumb_up3 voto/sflag
    icon

    David
    el 1/3/17

    Los de aplicaciones de las derivadas o de las integrales te vendrán bien..
    Se usan para obtener areas, volumenes de revolucion, optimizacion...
    abrazos!

    thumb_up0 voto/sflag
  • icon

    David Cueva
    el 27/2/17

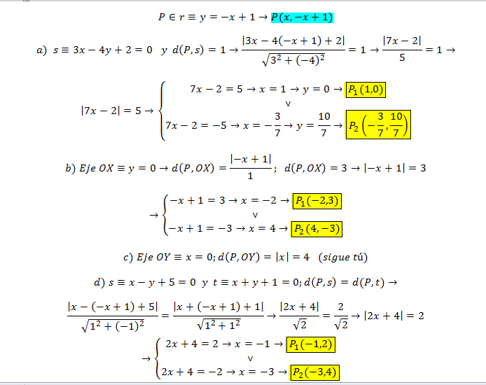
    Buenas noches unicoos, me podrían ayudar con este ejercicio por favor.

    replythumb_up0 voto/sflag
    icon

    Antonius Benedictus
    el 27/2/17


    thumb_up0 voto/sflag
  • icon

    leonardo
    el 27/2/17

    hola no logro entender este procedimiento, por favor si alguien me ayuda a entenderlo porque me cuesta muchísimo logaritmos. gracias

    replythumb_up0 voto/sflag
    icon

    Axel Morales Piñón.
    el 27/2/17

    He tenido un pequeño error Leonardo 

    No es +4log|1| debe ser -4log|1|  

    thumb_up1 voto/sflag
    icon

    Axel Morales Piñón.
    el 27/2/17


    thumb_up1 voto/sflag
    icon

    leonardo
    el 27/2/17

    una pregunta axel en donde es -2 log22. . pasa a ser -4log 2. porque?

    thumb_up0 voto/sflag
    icon

    Ángel
    el 28/2/17

    Porque se aplica una de las propiedades de los logaritmos, el exponente pasa multiplicando a la base 

    thumb_up0 voto/sflag
    icon

    Ángel
    el 28/2/17


    Si dudas, sigue preguntando ;)

    thumb_up0 voto/sflag
    icon

    leonardo
    el 28/2/17

    si  la ultima 4 log2  8=  4*3=12??

    thumb_up0 voto/sflag
    icon

    leonardo
    el 28/2/17

    porque maths? 

    thumb_up0 voto/sflag
  • icon

    Sumi
    el 27/2/17

    Buenos días, podrían ayudarme con este ejercicio. Muchas Gracias! 

    replythumb_up0 voto/sflag
    icon

    Antonius Benedictus
    el 27/2/17

    icon

    Sumi
    el 4/3/17

    Muchas gracias! 😊

    thumb_up0 voto/sflag
  • icon

    Enmanuel De la Paz
    el 27/2/17

    hola amigo me pueden decir que debo hacer en estas dos funciones? decir que debo hacer en estas dos funciones.


    replythumb_up0 voto/sflag
    icon

    Antonius Benedictus
    el 27/2/17

    G(x)= -P(x)

    H(x)= 0

    thumb_up0 voto/sflag