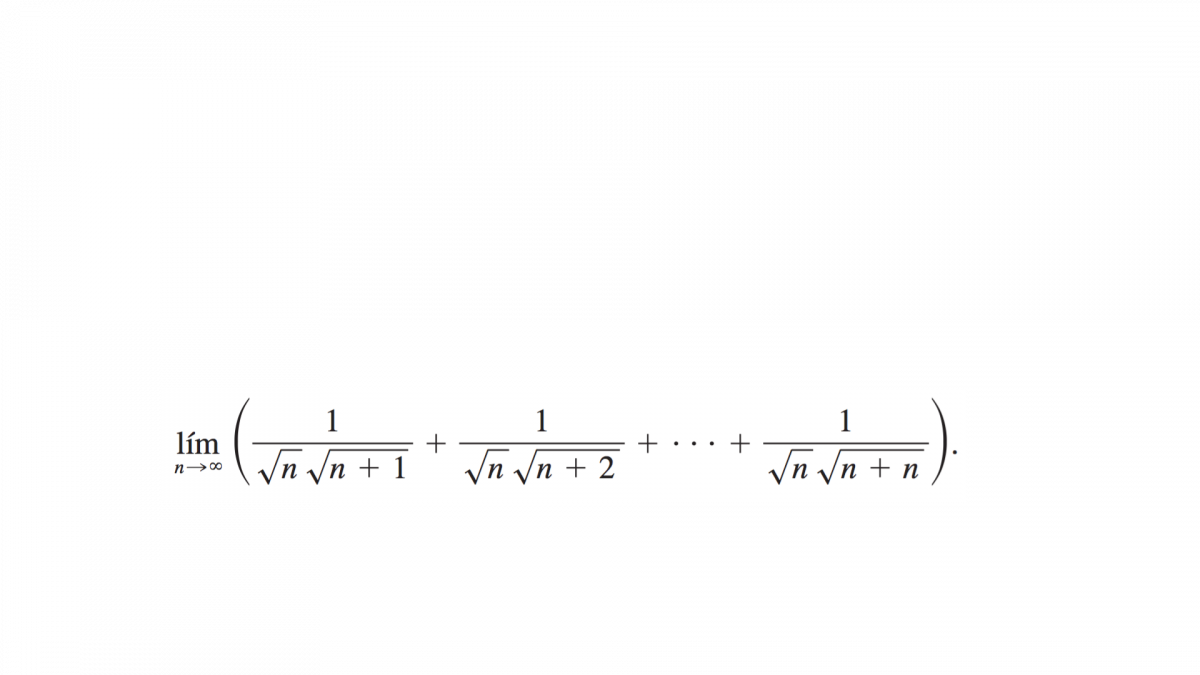
Buenas porfa ayudenme con esta integral, llevo mucho tiempo haciéndola y no me da la respuesta a. Integral 1/(e^-1+e^x) y gracias
Unicoos por favor solucion el bug de vuestra pagina(cuando le di a responder se quedo cargando eternamente).
Felizmente recupere una parte gracias a recortes xD
luego reemplaze en (*****), finalmente le queda una integral conocida ya que abajo tiene la funcion y arriba su derivada que vendria a ser ln, espero haberle ayudado y disculpe que no le ponga el resultado pero es que en serio es pesado escribir lo mismo 2 veces por un bug..., ok lo hare xD (ya parezco David :v), el resultado le deberia quedar e*(-ln(e^(x+1)+1)+ln(e^(x+1))), suerte y exitos :)
Demuestra que, si n no es múltiple de 3, el número a=3n-2n²-1, es divisible por 24.

Me encantaría ayudarte, pero no respondo dudas universitarias que no tengan que ver específicamente con los videos que ya he grabado como excepcion. O de otras asignaturas que no sean matemáticas, física y química. Lo siento de corazón… Espero lo entiendas
Ojalá algun unicoo universitario se anime a ayudarte (de hecho lo ideal es que todos los universitarios intentarais ayudaros los unos a los otros)
Se saca del horno un pastel de durazno a las 5:00 P.M. En ese momento está muy caliente: 100 ºC. A las 5:10 P.M., su temperatura es 80 ºC; a las 5:20 P.M. está a 65 ºC. ¿Cuál es la temperatura en la habitación?
La solución es 20º C
Para encontrarla debes usar la Ley de enfriamiento de Newton, es una fórmula con varios parámetros siendo uno de ellos la temperatura ambiente, que junto con los datos dados en el problema no te será difícil construir un sistema de tres ecuaciones con tres incógnitas y solamente tendrás que resolverlo.
Si no lo consigues, te doy más pistas.
Determina el centroide de la región encerrada por la elipse x2 + (x + y + 1)2 = 1.

Me encantaría ayudarte, pero no respondo dudas universitarias que no tengan que ver específicamente con los videos que ya he grabado como excepcion. O de otras asignaturas que no sean matemáticas, física y química. Lo siento de corazón… Espero lo entiendas
Ojalá algun unicoo universitario se anime a ayudarte (de hecho lo ideal es que todos los universitarios intentarais ayudaros los unos a los otros)
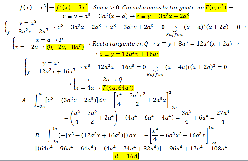
Si la recta tangente en un punto P sobre la curva y = x3 corta transversalmente otra vez la curva en Q, sea A el área de la región limitada por la curva y el segmento de recta PQ. Sea B el área de la región definida de la misma manera iniciando con Q, en lugar de P. ¿Cuál es la correspondencia entre A y B?