Foro de preguntas y respuestas de Matemáticas

logo beUnicoos
Los foros de unicoos se han unificado en nuestra nueva plataforma beUnicoos. Para dejar nuevas preguntas deberás hacerlo allí, donde además podrás encontrar nuevas asignaturas y herramientas para ayudarte más con tus estudios.

  • icon

    Sebastián
    el 26/2/17

    ¿Alguien sabe cómo realizar este ejercicio de optimización?


    replythumb_up0 voto/sflag
    icon

    Antonius Benedictus
    el 26/2/17

    Te envío uno similar:


    thumb_up0 voto/sflag
  • icon

    Darío
    el 26/2/17

    Ayuda con este ejercicio.


    replythumb_up0 voto/sflag
    icon

    Antonius Benedictus
    el 26/2/17


    thumb_up0 voto/sflag
  • icon

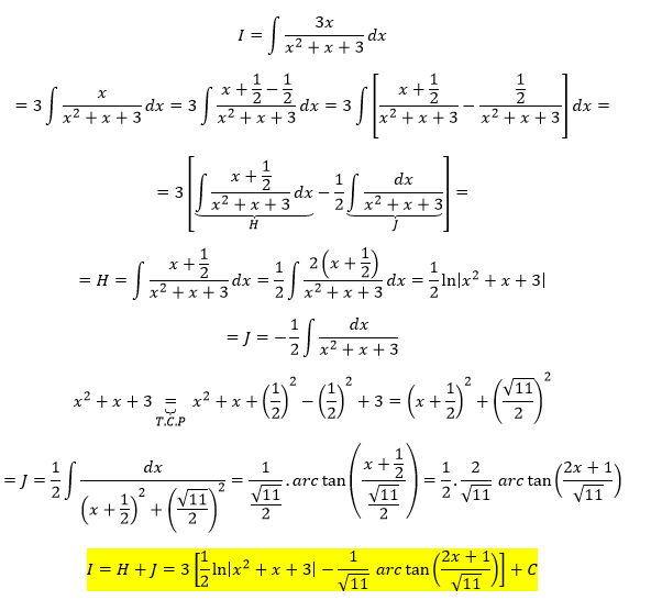
    Sara Tarjuelo
    el 26/2/17

    Hola, he corregido esta integral en clase y no he entendido el procedimiento, podríais ayudarme? Gracias!

    replythumb_up0 voto/sflag
    icon

    Axel Morales Piñón.
    el 26/2/17


    thumb_up1 voto/sflag
    icon

    Marcos
    el 26/2/17


    thumb_up0 voto/sflag
  • icon

    Ana
    el 26/2/17

    Necesito ayuda con este ejercicio.


    replythumb_up0 voto/sflag
    icon

    Antonius Benedictus
    el 26/2/17


    thumb_up0 voto/sflag
  • icon

    Matemáticas
    el 26/2/17

    Demuestra que existe un número entero >2 que x²-5x+6=0.


    replythumb_up0 voto/sflag
    icon

    Antonio
    el 26/2/17

    Te sirve si dices que el número entero mayor de dos que cumple x²-5x+6=0 es el 3.

    ¿O necesitas aplicar el teorema de Bolzano?



    thumb_up0 voto/sflag
    icon

    Jose Antonio Zapata Prior
    el 26/2/17


    thumb_up0 voto/sflag
  • icon

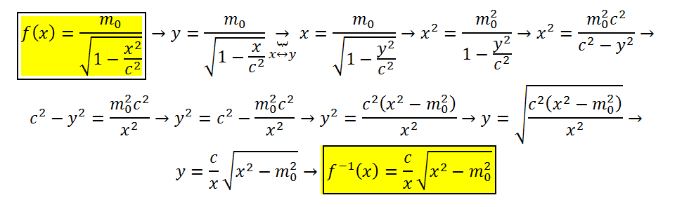
    Natalia Jiménez
    el 26/2/17

    Ayuda con este ejercicio.


    replythumb_up0 voto/sflag
    icon

    Antonius Benedictus
    el 26/2/17

    Extrae tú las consecuencias:


    thumb_up0 voto/sflag
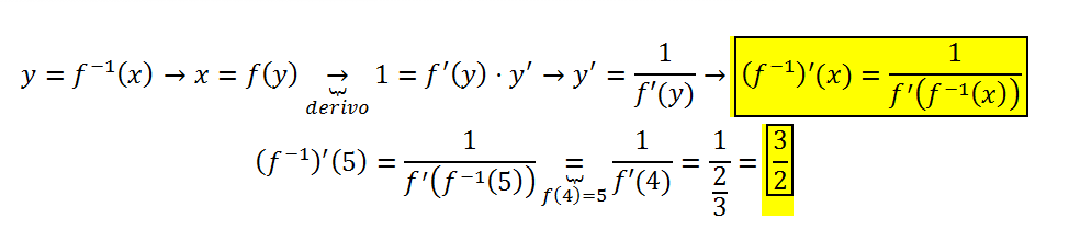
  • icon

    Paula
    el 26/2/17


    replythumb_up0 voto/sflag
    icon

    Jose Antonio Zapata Prior
    el 26/2/17


    thumb_up0 voto/sflag
  • icon

    Matemáticas
    el 26/2/17

    Da la definición de fita superior de un conjunto T de los números reales.

    Que significa que un conjunto T está fitado superiormente en el conjunto de los números reales?


    replythumb_up0 voto/sflag
    icon

    Antonius Benedictus
    el 26/2/17

    Me llama la atención que en Chile utilicéis el término catalán fita para cota.

    Un conjunto T de números reales está acotado superiormente si existe una constante real K de modo que:  x≤K, para todo x∈T.

    thumb_up0 voto/sflag
    icon

    Matemáticas
    el 26/2/17

    Antonio, a mi clase lo llamamos fita o cota, las dos cosas.


    thumb_up0 voto/sflag
    icon

    Antonius Benedictus
    el 26/2/17

    ¿En Chile o en Cataluña?

    thumb_up0 voto/sflag
    icon

    Matemáticas
    el 26/2/17

    Chile. En clase, lo llamamaos cota pero tengo familiares catalanes y a veces lo llamo fita.

    thumb_up0 voto/sflag
  • icon

    Jordi García
    el 26/2/17

    ¿Podéis decirme si tengo algún fallo?


    replythumb_up0 voto/sflag
    icon

    Antonius Benedictus
    el 26/2/17

    No veo fallos, Jordi.

    thumb_up0 voto/sflag
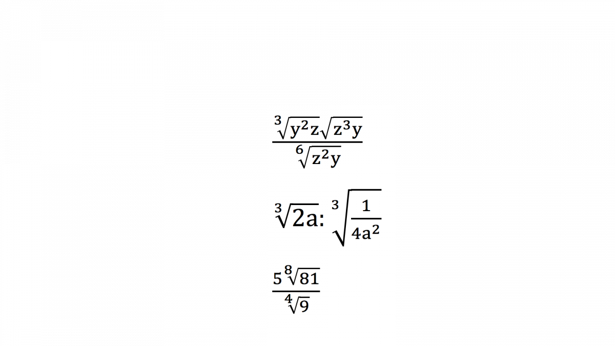
  • icon

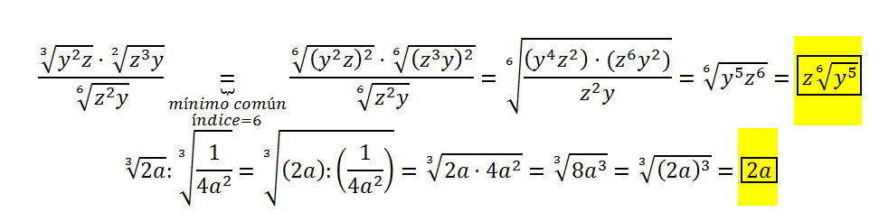
    Luis
    el 26/2/17

    Ya he publicado este ejercicio en una entrada anterior, pero lamentablemente no entiendo el procedimiento. Se trata de simplificación de radicales.


    replythumb_up0 voto/sflag
    icon

    Antonius Benedictus
    el 26/2/17


    thumb_up0 voto/sflag
    icon

    Antonius Benedictus
    el 26/2/17


    thumb_up0 voto/sflag