Hola unicoos.
Alguien me puede corregir si me he confundido en la respuesta. A mi parecer la respuesta es la alternativa e
Creo que es esa alternativa, ya que para todo x > 0 , la gráfica sería la reflexión de f(x) respecto al eje y ( es decir reflejo la curva respecto al eje y para todo x > 0 ) . Algun error en esto. Gracias a la persona que me ayude. Saludos
Hola, buenas noches
Alguien me podria explicar este problema de calculo, por favor
Explique porque la funcion es discontinua en el punto dado f(x)= ln|x-2| a=2
Debo sacar limite de 2?
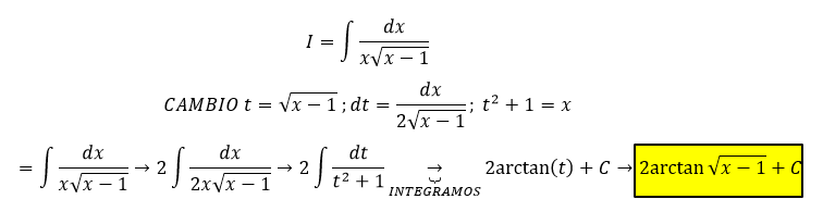
Hola buenas noches. Alquien me puede explicar como se llego a ese resultado? de donde salio o como lllego a
Ln(cosx) + c

Vamos con el primero. Tienes la función cuya expresión es:
y = 2x2 + 2, cuya derivada queda: m = dy/dx = y ' = 4x
Luego, proponen la parametrización: x = t, luego sustituyes en la expresión de la función y queda: y = 2t2 + 2,
por lo que tenemos:
a)
Ecuaciones cartesianas paramétricas de la gráfica de la función:
x = t
y= 2t2 + 2
t ∈ R.
b)
Derivamos con respecto a t en ambas ecuaciones paramétricas y quedan:
dx/dt = 1
dy/dt = 4t
luego planteamos para la pendiente:
m = dy/dx = (dy/dt) / (dxdt) = 4t/1 = 4t (observa que es la expresión parametrizada de la pendiente cuya expresión hemos planteado al comienzo).
Luego, haz el intento con el segundo ejercicio, porque el procedimiento es el mismo, pero cambiarán las expresiones.
Y si te es preciso, no dudes en volver a consultar.
Espero haberte ayudado.
Varios fallos por el echo de que 1 elevado a infinito es una indeterminación. Y debes de aplicar una fórmula bastante utilizada para este tipo de casos. En busca en este canal "limites de 1 elevado a infinito" y encontrarás algún ejemplo y también la fórmula que se utiliza para estos casos.
hola estoy repasando temas de subespacios vectoriales y no recuerdo ¿por que una recta o plano para que sean subespacios vectoriales de r3 se necesitan que pasen por el origen?

Porque en un subespacio vectorial ha de estar siempre el vector nulo, cuya representación geométrica es el origen de coordenadas. por eso, las ecuaciones cartesianas de un subespacio vectorial son lineales (de primer grado) y homogéneas (término independiente nulo), que siempre tienen la solución trivial.