Ayuda con este otro, por favor.
Demuestra que la ecuación x + 2 cos x = 0 tiene al menos una solución.
Si te dice que al menos tiene una solución esto es que corta al menos una vez el eje, en este caso el eje OX. Para demostrar que al menos corta una vez el eje tienes que aplicar el teorema de Bolzano y encontrar un intervalo donde se encuentre dicha raíz, solución o corte con el eje (como desees llamarle)
Puedes ver que la función se compone de tres funciones polinómicas, al ser polinómicas no tendrás ningún punto de discusión por lo que los dos únicos puntos serán el 0 y el 2 (x=0 y x=2) por tanto tienes que sustituir en 0 en la primera ecuación puesto que x es menor igual que 0. Y luego calcular el límite por la derecha y por la izquierda de la función. Si el resultado es igual en ambos casos. Al sustituirla, y al hacer los límites los resultado son iguales pues tienes que la función es continua en x=0. Y de igual forma lo debes de hacer para x=2.
En este caso los únicos puntos de discusión serian esos. Pero si tuvieras una raíz deberias de ver en que puntos podrías tener problemas. Para que la función sea continua.
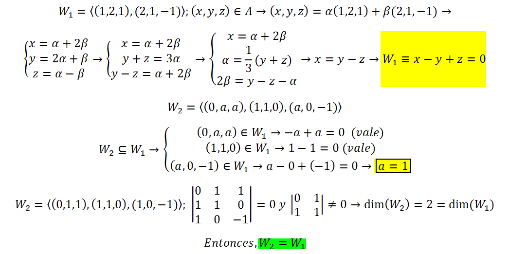
Hola, alguien me podría ayudar con este problema de Àlgebra? Gracias!
Encontrar los valores del parametro a e R de forma que W1 y W2 sean el mismo subespacio. Siendo W1 generado por el conjunto A = {u1=(1,2,1); u2=(2,1,-1)} y W2 generado por el conjunto B={v1=(0,a,a); v2=(1,1,0); v3=(a,0,-1)}
Problema de divisibilidad (m.c.m y M.C.D): En un terreno resctangular de 280 m de largo por 18m de ancho se quiere poner una valla alrededor, de forma que los postes estén a igual distancia y con la mayor separación posible entre ellos. A que distancia deberemos colocar unos de otros ?. Respuesta: 2 m

Tienes que hacer el MCD.. 280=2³.5.7...... 18=2.3²
El MCD será 2..
Lo que tenes que hacer es evaluar el número en la función.
En el caso 1) Reemplazas por 3 todas las x (porque dice lim x→3): Entonces queda (9+12-21)/0. Como NO se puede dividir por 0, no existe el límite
En el caso 2) Reemplazas por -3 todas las x (porque dice lim x→-3): Entonces queda (9-12-21)/(-6) = -24/-6= 4
En el caso 3) Reemplazas por 2 todas las x (porque dice lim x→2): Entonces queda (4+4)/0. Como NO se puede dividir por 0, no existe el límite
CUALQUIER DUDA PREGUTNA