Foro de preguntas y respuestas de Matemáticas

logo beUnicoos
Los foros de unicoos se han unificado en nuestra nueva plataforma beUnicoos. Para dejar nuevas preguntas deberás hacerlo allí, donde además podrás encontrar nuevas asignaturas y herramientas para ayudarte más con tus estudios.

  • icon

    Juan Fco Llorente Jiménez
    el 21/2/17

    Sabéis si hay algún íideo de rango de una matriz por GAUSS

    replythumb_up0 voto/sflag
    icon

    Antonius Benedictus
    el 21/2/17


    thumb_up1 voto/sflag
  • icon

    Matemáticas
    el 21/2/17

    Demuestra si la siguiente cuestión es cierta o falsa:

    Si el triángulo ΔABC es equilátero, el área es igual a [√(3)]/4 a2 , donde a es la mida de los lados?


    replythumb_up0 voto/sflag
    icon

    Antonius Benedictus
    el 21/2/17

    Ésta la puedes hacer tú. Solo tienes que aplicar Pitágoras a medio triángulo equilátero.

    thumb_up0 voto/sflag
  • icon

    Matemáticas
    el 21/2/17

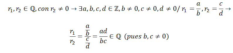
    Demuestra si la siguiente cuestión es cierta o falsa:

    Si r1y r2son dos números racionales y r2 ≠ 0, puedes garantir que r1/r2es racional?


    replythumb_up0 voto/sflag
    icon

    Antonius Benedictus
    el 21/2/17

    Garantizado:


    thumb_up0 voto/sflag
  • icon

    Paula
    el 21/2/17

    Ayuda con este ejercicio Antonio Benito. ¡Paso a paso por favor! Se trata de calcular las ecuaciones de la recta que incluyen estos segmentos (véase la figura adjunta). Gracias de antemano.


    replythumb_up0 voto/sflag
    icon

    Antonius Benedictus
    el 21/2/17

    Foto del enunciado original, por favor.

    thumb_up0 voto/sflag
    icon

    Paula
    el 21/2/17

    Ese es el enunciado original.  Calcular las ecuaciones de la recta que incluyen esos  segmentos. 

    thumb_up0 voto/sflag
    icon

    Paula
    el 21/2/17

    Si no me equivoco, hay que hallar las coordenadas de los puntos   y después calcular la ecuación de la recta de cada una - que es paralela- . Lo he intentado y no me sale. Gracias de antemano.


    thumb_up0 voto/sflag
    icon

    mauro franco
    el 21/2/17

    Si no se entendí mal, tenes que calcular cuatro rectas entonces y que cada una contenga a sus respectivos segmentos; AB en una  ; BC en otra  ; CD en otra y  DA en otra
     El primero seria una recta con vector director= AB y un punto que puede A.
     Y las demás de la misma forma....

    thumb_up0 voto/sflag
  • icon

    Rebeca Salguero Campomar
    el 21/2/17
    flag

    ¿es posible plantas 275 árboles en una parcela rectangular de 75x30metros , de modo que formen un cuadrado regular?

    en caso afirmativo, averigua cual debe de ser la distancia entre dos árboles de una fila


    replythumb_up0 voto/sflag
    icon

    David
    el 26/2/17

    No sabría que decirte.. El enunciado no tiene sentido.. No te dicen cuanto ocupa cada arbol...

    thumb_up0 voto/sflag
  • icon

    Rebeca Salguero Campomar
    el 21/2/17

    hola necesito ayuda para el siguiente ejercicio:

    un deportista está en A, en el mar, a 120 m de la playa BD, que mide 1510 m.

    Para ir al extremo D, nada hasta C con V=40 m/min y camina de C a D a 90 m/min. Calcula las distancias que recorrio nadando y andnado, si el tiempo que empleo en total fue de 20 min.

    replythumb_up0 voto/sflag
    icon

    Juan Fco Llorente Jiménez
    el 21/2/17

    Se trata de poner que el tiempo total es t1+t2 donde t1 es distancia/velocidad(nadando) y t2 es espacio/velocidad (caminando)

    y no veo el dibujo pero tendrás ademas un teorema de pitágoras o una semejanza de triángulos para la otra ecuación.

    Total sistema de 2 ecuaciones 2 incognitas

    thumb_up0 voto/sflag
  • icon

    Espe
    el 21/2/17

    Como se realizaria el siguiente ejercicio de determinantes? gracias de antemano


    Una matriz A es idempotente.

    a) Demuestra que lAl = 1 o lAl = 0

    b) Indica que propiedad has aplicado.

    replythumb_up0 voto/sflag
    icon

    Antonius Benedictus
    el 21/2/17


    thumb_up1 voto/sflag
  • icon

    Victor Miranda Garcia
    el 21/2/17

    Alguien me puede ayudar? 

    replythumb_up0 voto/sflag
    icon

    Antonius Benedictus
    el 21/2/17


    thumb_up0 voto/sflag
  • icon

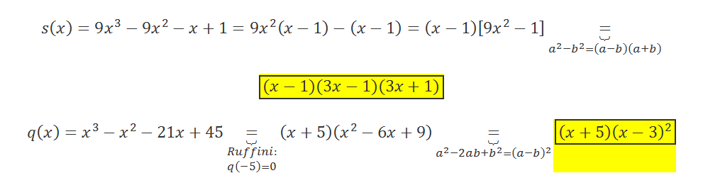
    Victor Miranda Garcia
    el 21/2/17

    ayudadme a factorizar el apartado c y d

    replythumb_up0 voto/sflag
    icon

    Antonius Benedictus
    el 21/2/17


    thumb_up0 voto/sflag
  • icon

    Mili Tenor
    el 21/2/17

    Ayuda urgente por favor!! rindo en una hora !

    lim (x->0)= sen2  4x .tg 5x

                        ----------------------

                           14x2

    replythumb_up0 voto/sflag
    icon

    Antonius Benedictus
    el 21/2/17


    thumb_up1 voto/sflag
    icon

    Mili Tenor
    el 21/2/17

    el 16 de donde sale??

    thumb_up0 voto/sflag
    icon

    Antonius Benedictus
    el 21/2/17

    Lo pongo como divisor y compenso poniéndolo como factor. es el "truco" para que aparezca el límite teórico.

    thumb_up1 voto/sflag