Determina una ecuación de la recta que satisfaga las condiciones dadas.
a) Pasa por (25, 24) y es perpendicular a la recta que pasa por (1, 1) y (3, 11).
b) Pasa por el origen y es paralela a la recta que pasa por (1, 0) y (22, 6).

Debes completar tu tarea.
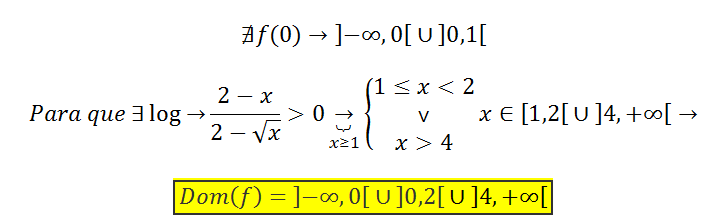
Observa que si la expresión de la función a trozos es:
f(x) =
21/x - 1 para x < 1, observa que no está definida para x = 0
(2-x) / ( 2-√(x) ) para x ≥ 1, observa que no está definida para x = 4
Luego, el dominio de la función es: D = R - { 1 , 4 }.
Espero haberte ayudado.