Foro de preguntas y respuestas de Matemáticas

logo beUnicoos
Los foros de unicoos se han unificado en nuestra nueva plataforma beUnicoos. Para dejar nuevas preguntas deberás hacerlo allí, donde además podrás encontrar nuevas asignaturas y herramientas para ayudarte más con tus estudios.

  • icon

    Alexander Palma
    el 13/1/17

    Ayudenme con ese problema, la respuesta no me sale, yo creo que es mas compleja, de lo que se menciona ahy. Gracias, de ante mano.

    replythumb_up0 voto/sflag
    icon

    Antonius Benedictus
    el 13/1/17


    thumb_up1 voto/sflag
  • icon

    Guillem De La Calle Vicente
    el 13/1/17
    flag

    Cómo se hace esta integral?




    replythumb_up1 voto/sflag
    icon

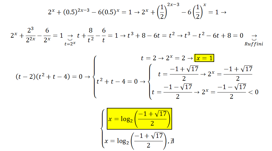
    Alexander Palma
    el 13/1/17

    Asi, Guillem:


    thumb_up0 voto/sflag
    icon

    Guillem De La Calle Vicente
    el 13/1/17

    Tienes el procedimiento?


    thumb_up0 voto/sflag
  • icon

    David Poyatos
    el 13/1/17

    Hola, hoy he ido a la Olimpiada de matemáticas y había un ejercicio que decía: Calcular el número de raíces reales distintas que puede tener un polinomio P que verifique la siguiente propiedad: El producto de dos raíces distintas de P sigue siendo una raíz de P

    Como se resolvería este ejercicio.


    replythumb_up0 voto/sflag
    icon

    Antonius Benedictus
    el 13/1/17

    Se me ocurre esto, David:


    thumb_up0 voto/sflag
  • icon

    JUAN AMPIE
    el 13/1/17


    Un padre para animar a su hijo a hacer los deberes le dijo; Por cada ejercicio que hagas bien te daré 2.5$ y por cada uno que hagas mal , me darás 2.0$ . Después de hacer 25 ejercicios, se encuentra con 22$. Cuantos ejercicios ha resuelto bien?


    replythumb_up0 voto/sflag

    Usuario eliminado
    el 13/1/17


    thumb_up1 voto/sflag
  • icon

    Guillem De La Calle Vicente
    el 13/1/17
    flag

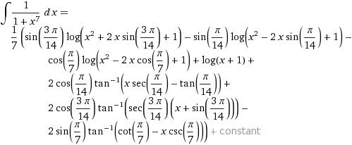
    Cómo se hace esta integral?



    replythumb_up0 voto/sflag
    icon

    Antonius Benedictus
    el 13/1/17

    Se trata de una integral elíptica, no resoluble en términos de funciones elementales.

    thumb_up0 voto/sflag
    icon

    Guillem De La Calle Vicente
    el 14/1/17

    La podrias resolver Antonio? Gracias

    la otra que he colgado de que tipo es?

    thumb_up0 voto/sflag
  • icon

    Nidia Martínez Jordán
    el 13/1/17

    Necesito ayuda con estas dos ecuaciones trigonométricas. Gracias de antemano 

    replythumb_up1 voto/sflag
    icon

    Antonius Benedictus
    el 14/1/17


    thumb_up1 voto/sflag
    icon

    Antonius Benedictus
    el 14/1/17


    thumb_up1 voto/sflag
  • icon

    Mario
    el 13/1/17

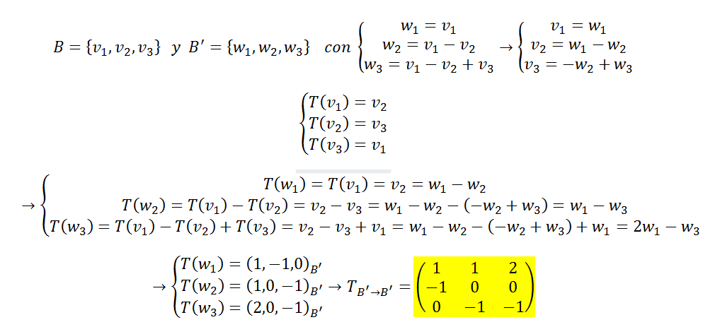
    Hola unicoos aca de nuevo 

    Este lo estoy pensando, asi:

    B´= v1(1,1,1)+v2(0,-1,-1)+v3(0,0,1)

    de aca pense como piden esa matriz asociada, hallar los transformados de cada uno de ellos. 

    T(v1,v2,v3)=Tv1(1,1,1)+Tv2(0,+1,1)+T(v3)(0,0,1) ?

    eso esta bien pensado... como podria seguir.

    De paso algun material sobre este tema, con ejercicios resueltos asi me puedo guiar un poco mas. gracias



    replythumb_up0 voto/sflag
    icon

    Antonius Benedictus
    el 13/1/17


    thumb_up0 voto/sflag
  • icon

    Rafael Serrano
    el 13/1/17



    Buenas tardes, me gustaría que me ayudaras en este sistema lineal por el método de Gauss no consigo solucionarlo 

    muchas gracias de antemano   un saludo

    estoy muy agradecido por la respuesta del correo anterior 

    es genial este canal

              X-Y= - 3

    -2X+3Y+Z=4

     2X+Y-5Z=4




    replythumb_up0 voto/sflag

    Usuario eliminado
    el 13/1/17


    thumb_up1 voto/sflag
    icon

    César
    el 13/1/17

    Rafael va 

    thumb_up1 voto/sflag
    icon

    Rafael Serrano
    el 13/1/17

    Muchísimas gracias  Cesar y Alex un saludo

    thumb_up0 voto/sflag
  • icon

    JUAN AMPIE
    el 13/1/17

    Ayuda por favor y gracias de antemano

    quiero obtener todas las razones trigonometricas de este triangulo pero no se por donde operar ya que el angulo es el recto


    replythumb_up0 voto/sflag
    icon

    Ángel
    el 13/1/17

    *Por el teorema de pitágoras podrás obtener el valor del lado del triángulo que falta.


    *Identificar cateto adyacente, cateto opuesto e hipotenusa


    Con δ=90º, obtener las razones trigonométricas con la imagen adjunta:





    thumb_up1 voto/sflag
    icon

    JUAN AMPIE
    el 13/1/17

    el problema no son las razones si no como operarlas puesto que el angulo de referencia es el angulo recto

    thumb_up0 voto/sflag
    icon

    Ángel
    el 13/1/17

    *Identificar cateto adyacente, cateto opuesto e hipotenusa


    Cateto adyacente: 6 cm
    Cateto opuesto: No lo sabemos, pero podemos calcularlo así: h2=cat12 cat22     ----->82=62+cat.opuesto2       ------->  cat. opuesto=√(64-36) ------>    cat. opuesto=√28-----> 2√7
    Hipotenusa: 8cm


    thumb_up2 voto/sflag
    icon

    Ángel
    el 13/1/17

    Una pregunta...¿el dibujo es sacado del libro o lo has hecho tú?

    thumb_up2 voto/sflag
    icon

    JUAN AMPIE
    el 13/1/17

    que raro la hipotenusa me habia dado a 10

    thumb_up0 voto/sflag
    icon

    Ángel
    el 13/1/17

    Por eso te pregunté...en el dibujo "cuadra" más que valga 100 como tú apuntaste, que 2 √7

    thumb_up1 voto/sflag
  • Usuario eliminado
    el 13/1/17

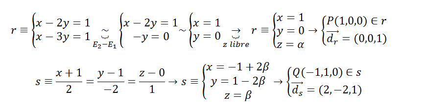
    Buenas tardes! Pueden ayudarme con el siguiente problema? En referencia a lo primero que me piden.

    He hallado la posición de ambas rectas y he obtenido que se cruzan, pues bien. He ido a calcular el plano que contiene a r y que pasa por (0,0,0), para después hallar su punto de corte con la recta s. Y de esta manera obtener la recta t que me piden gracias a que tendré el (0,0,0) el punto de corte con s, y el vector entre ellas, pero no sé por qué no soy capaz de hallar el plano, tomo Vr, el vector Pr a (0,0,0) y el punto (0,0,0)

    Muchas gracias

    replythumb_up0 voto/sflag

    Usuario eliminado
    el 13/1/17

    No es ese mi problema... esto es en lo que yo me he atascado y no sé qué he hecho mal...

    thumb_up0 voto/sflag
    icon

    Antonius Benedictus
    el 13/1/17

    A ver si esto te ayuda, Paola:


    thumb_up0 voto/sflag
    icon

    César
    el 13/1/17

    VA Paola no he hecho calculos espero que te sea útil

    thumb_up0 voto/sflag

    Usuario eliminado
    el 14/1/17

    Mi problema está en que al hallar el primer plano me da como resultado y=0 y no sé por dónde cogerlo. No sé que significa. Dónde están x y z?

    thumb_up0 voto/sflag