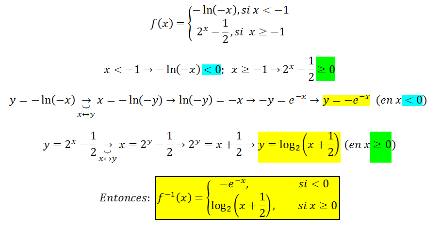
Hola unicoos. Buen día podrían por favor ayudandome en un problema de selección múltiple, debo hallar la función inversa de la función dada. Muchas gracias de antemano al unicoo que me brinde su ayuda. Mil gracias.
Ejercicio de los apuntes de unicoos en limites:![]()
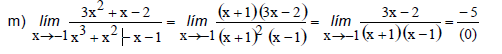
Yo al hacerlo por ruffini, se me queda en
3(x+1)(3x-2)/(x+1)(x^2-1)=-15/0
Mi duda es que tras hacer ruffini multiplico por el 3 ya que en el denominador el x^2 tiene un 3 multiplicando y segun tus videos tambien es asi, que error cometo?
Por favor agradeceria mucho la rapidez!
Un saludo
Hola Unicoos.
tengo dudas con 2 ecuaciones trigonométricas. Agradezco que me ayudes lo más pronto posible.
Los problemas son los siguientes:
1) Sen²x = 0.5Sen²x
2) Sen²x = Cos²x - Senx
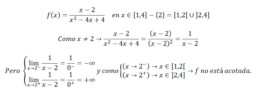
hola unicoos
tengo dudas con este problema
se que tiene una discontinuidad de salto evitable en x=1 pero no se como resolverlo completo
o sabiendo esto se daria por terminado y se diria que es integrable por rieman porque solo tiene una discontinuidad?
gracias
Hola. Tengo dos dudas de análisis matemático:
1) Para derivar f(x)=sen(x)tg(x), cuando aplicamos la regla de la cadena, ¿hay que derivar también la tangente, o simplemente sería: f'(x)=tg(x)*sen(x)tg-1*cos(x)?
2)¿Cómo hallo las soluciones de la ecuación 2x3-6x+7=0? Porque al presentar un número primo como término independiente no puedo aplicar la regla de Ruffini y no conozco otro método.

Las raíces no racionales de una ecuación polinómica de tercer grado no se pueden determinar por Ruffini. Tienes que utilizar la fórmula de Cardano (es de Matemática superior) o algún método de aproximación (T. de Bolzano, regula falsi...)
http://es.planetcalc.com/1122/?language_select=es