A ver si me podéis corregir...
En un piso la superficie de una habitación es 7/12 del total y la de otra 2/3 ¿Cuál es mayor?
Mi respuesta: 2/3 es mayor ya que la superficie total de 2/3 es de 0,6 y la de 7/12 es de 0,5...
¿Bien?

También puedes visualizar la situación sin pasar a notación decimal, si reduces las fracciones a fracciones con mínimo común denominador:
observa que el mínimo común múltiplo entre 12 y 3 es 12, por lo tanto tenemos:
2/3 = 2/3 * 4/4 = 2*4 / 3*4 = 8/12
7/12 ya está expresada con el mínimo común denominador;
luego tenemos que la primera fracción es mayor que la segunda, por lo tanto resulta: 2/3 > 7/12, tal como has concluido.
Espero haberte ayudado.
Cuidado con los redondeos...
En forma decimal:
2/3= 0.666666... (redondeando al primer decimal, como tú hiciste, sería 0.7) -------> ¡y NO 0.6!
7/12= 0.58333333....(redondeando al primer decimal sería igual a 0.6) -------> ¡y NO 0.5!
"Como 0.7 es mayor que 0.6, concluimos que 2/3 es mayor que 7/12"
Consejo: saca dos decimales en vez de uno para que la solución sea algo más exacta y no te lleve a confusión
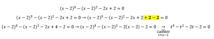
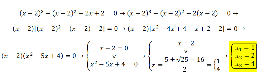
Alguien sabe como resolver esta ecuación: (x-2)3 - (x-2)2 - 2x + 2 = 0
Gracias.

Humildemente,
tratare de apoyar: 1.- resolver el paréntesis elevado al cubo. 2.- El
siguiente paréntesis por producto notable. 3.- Agrupe, términos
semejantes y ordene por potencias de mayor a menor. 4.- Obtenga, los
diferentes valores de X (supongo, deberían ser 3), por Ruffini.
tendrás que usar Cardano Vieta por Ruffini imposible
Formula de Cardanoqueda despues de operar x3-7x2+14x-10=0
Problema de combinatoria de inclusión-exclusión:
A una empresa de software le piden el diseño de cinco aplicaciones informáticas diferentes. Cada una de estas cinco tareas deben ser realizadas por uno de los cuatro programadores que trabajan. Determina de cuantas maneras diferentes se pueden distribuir estas cinco tareas de forma que cada programador tenga asignada al menos una.
Una forma "trivial": si A(i,j) es que las tareas i y j se hagan juntas, entonces buscas UA(i,j), con i,j=1,2,3,4,5 e i<j
Esto te genera una partición: A(i,j) intersectado con A(k,m) es vacío si (i,j) es distinto de (k,m).
Así, la cardinalidad de la unión de los A(i,j), que es lo que buscas, es simplemente la suma de cada A(i,j)
Ahora estamos dando matrices y nos han puesto un trabajo en el cual aparece un ejercicio que creo que tiene el enunciado equivocado. En el ejercicio te piden que calcules A33. Buscando por internet encontre que la mayoria de casos en los que te piden calcular una matriz elevada a X, al hacer A2 o A3 te queda la inversa, el cual simplifica mucho el proceso. En este ejercicio no me sale la inversa, por lo que he pensado que a lo mejor el profesor se ha equivocado al escribir el enunciado. Me equivoco?

Recuerda las condiciones de simetría:
Si se cumple que f(-x) = f(x) entonces la gráfica de la función es simétrica respecto al eje OY.
Si se cumple que f(-x) = - f(x) entonces la gráfica de la función es simétrica con respecto al origen de coordenadas.
Luego, observa que la función tiene la expresión: f(x) = x3, tal como has señalado, pero observa también que x es una longitud, por lo que x siempre debe toma valores estrictamente positivos, lo que conduce a que la función también tome valores estrictamente positivos, por lo tanto:
I) El dominio (conjunto de valores que puede tomar la variable x) es el conjunto de los números reales estrictamente positivos.
II) El recorrido de la función (valores que puede tomar la función) es el conjunto de los números reales positivos.
III) El gráfico está incluido en el primer cuadrante (valores positivos para x y valores positivos para y) y, por lo tanto, no es simétrico con respecto al origen de coordenadas.
Por lo tanto, concluimos que solamente la opción (I) es Verdadera.
Espero haberte ayudado.

Observa que, de acuerdo con la definición de valor absoluto, tenemos la función a trozos:
f(x) =
-4/x si x ≤ -2
ax2 + bx + c si -2 < x < 2
4/x si x ≥ 2
Luego, planteamos la continuidad de la función para x = -2, según la definición:
1°) f(-2) = -4/(-2) = 2
2°) Planteamos los límites laterales:
Lím(x→-2-) f(x) = Lím(x→-2-) (-4/x) = 2
Lím(x→-2+) f(x) = Lím(x→-2+) (ax2 + bx + c) = 4a - 2b + c
luego, para que el límite exista debemos plantear la ecuación: 4a - 2b + c = 2 (1).
3|) La función es continua en x = -2.
Luego, para que la función sea diferenciable en x = 2, tenemos que debe ser continua en dicho punto, por lo que planteamos según la definición:
1°) f(2) = 4/2 = 2.
2°) Planteamos los límites laterales:
Lím(x→2-) f(x) = Lím(x→2-) (ax2 + bx + c) = 4a + 2b + c
Lím(x→2+) f(x) = Lím(x→2+) (4/x) = 2.
luego, para que el límite exista debemos plantear la ecuación: 4a + 2b + c = 2 (2).
Luego, planteamos la expresión de la función derivada:
f ' (x) =
4/x2 si x < -2
2ax + b si -2 < x < 2
a determinar si x = 2
-4/x2 si x > 2
Luego, planteamos los límites laterales de la función derivada para x tendiendo a 2:
Lím(x→2-) f ' (x) = Lím(x→2-) (2ax + b) = 4a + b
Lím(x→2+) f ' (x) = Lím(x→2+) (-4/x2) = -1
luego, para que la derivada exista para x = 2 los límites laterales deben ser iguales, por lo que planteamos: 4a + b = - 1 (3).
Luego, con las ecuaciones señaladas (1) (2) (3) tenemos el sistema de tres ecuaciones con tres incógnitas:
4a - 2b + c = 2
4a + 2b + c = 2
4a + b = - 1
resuelves el sistema, y su solución es: a = -1/4, b = 0, c = 3.
Espero haberte ayudado.

Recuerda que la función exponencial con base a, con a ∈ R, a > 0 y a ≠ 1, tiene dominio R e imagen (0,+∞), y su expresión es: f(x) = ax.
Luego, tenemos un solo caso estricto en el que tratamos con una función exponencial:
III) f(x) = (√(2))x, cuya base es: a = √(2).
Y en los otros dos casos tenemos:
I) f(x) = xx = (elnx)x = exlnx, tiene dominio (0,+∞), y resulta ser la composición de la función: g(x) = xlnx con la función exponencial con base natural: h(x) = ex.
II) f(x) = 52-x, tiene dominio R, y resulta ser la composición de la función: g(x) = 2 - x con la función exponencial con base cinco: h(x) = 5x.
Espero haberte ayudado.