Foro de preguntas y respuestas de Matemáticas

logo beUnicoos
Los foros de unicoos se han unificado en nuestra nueva plataforma beUnicoos. Para dejar nuevas preguntas deberás hacerlo allí, donde además podrás encontrar nuevas asignaturas y herramientas para ayudarte más con tus estudios.

  • icon

    Maria
    el 3/1/17

    cual es su asíntota horizontal?


    replythumb_up0 voto/sflag
    icon

    César
    el 3/1/17

    si x->-∞    f(x)->0

    luego x=0  asintota horizontal

    thumb_up0 voto/sflag
    icon

    Maria
    el 4/1/17

    Si al resolver la indeterminación infinito menos infinito me queda 1/raíz de x^2+x y fuera de la raiz x y bo me vuelve a quedar uma indetermimacióm en el denominador? No se como sale el 0

    thumb_up0 voto/sflag
    icon

    Ángel
    el 4/1/17


    thumb_up0 voto/sflag
  • icon

    sara López
    el 3/1/17

    Una pregunta, ¿es verdad que 

    | sen x | <= |x|      ?

    Gracias

    replythumb_up0 voto/sflag
    icon

    Antonius Benedictus
    el 3/1/17


    thumb_up1 voto/sflag
    icon

    sara López
    el 3/1/17

    Muchisimas gracias Antonio!!

    thumb_up0 voto/sflag
  • icon

    Alejandro Expósito
    el 3/1/17

    P(X) 2x5−3x3+2x−1


    Q(X) −x3+2x2−3


    R(X) 2x2−x+1

    a)P(x)−Q(x)−R(x)

    ¿Como se hace este ejercicio?






    replythumb_up0 voto/sflag
    icon

    Ángel
    el 3/1/17


    P(X)-Q(X) = (2x5−3x3+2x−1)  (−x3+2x2−3)= 2x5−2x32x2+2x+2


    P(X)-Q(X)  - R(X)= 2x5−2x32x2+2x+2 -(2x2−x+1)=   2x5−2x3−4x2+3x+1 = P(X)-Q(X)-R(X)


    thumb_up0 voto/sflag
  • icon

    Mattia
    el 3/1/17

    Buenas tardes! Como se hace este ejercicio?

    replythumb_up0 voto/sflag
    icon

    Antonius Benedictus
    el 3/1/17


    thumb_up1 voto/sflag
  • icon

    Amanda
    el 3/1/17

    ¿Por qué no se puede simplificar 77/96?


    Si, 77 se puede dividir entre 11, y 96 entre otros tantos números...

    replythumb_up0 voto/sflag
    icon

    Guillem De La Calle Vicente
    el 3/1/17

    No se puede simplificar porque 96 también se habría de dividir entre 11, y 96 no es múltiplo de 11.


    thumb_up1 voto/sflag
  • icon

    Jonathan Yañez
    el 3/1/17

    ------------------------------------------COMBINATORIA------------------------------------------

    28.- Calcular el valor de x:

    V(5;x) = 20--------> Ya se que es 2, pero no me sale despejarlo.



    -------Mi resolución-------


    1)  5!/(5-X)!  = 20

    2)  120           = 20 * (5-X)!

    3)  120/20    = (5-X)!

    4)  6                 = (5-X)! -------------------> Hasta acá llegue.

    replythumb_up0 voto/sflag
    icon

    Ángel
    el 3/1/17

    5)    3!= (5-X)!

    6)    3=5-X

    7)    X=2

    thumb_up1 voto/sflag
    icon

    Jonathan Yañez
    el 3/1/17

    Conoces otra forma? 
    Pasa que lo que pusiste esta bien y se entiende perfecto, pero convertiste el 6 en 3!, y es como que yo diga; 5*(5-1)=20--->x=2.
    No estoy seguro si es muy factible ese procedimiento.

    thumb_up0 voto/sflag
    icon

    Ángel
    el 3/1/17

    Convertí el 6 en 3! para tener ambos miembros de la igualdad en forma de factorial y así poder prescindir del cálculo del factorial para proceder al despeje


    (((A esto último que pusiste 5*(5-1)=20--->x=2 no le veo mucho sentido, no sé si es factible/correcto, parece que le faltan pasos )))


    thumb_up1 voto/sflag
  • icon

    BEÑAT DE LA GRANJA
    el 3/1/17

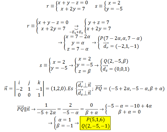
    Buenas tardes, podéis ayudarme?

    Dadas las las rectas r≡  x + y - z = 0              y         s≡ x = 2

                                               x + 2y = 7                                  y = -5

    encuentra el punto P de la recta r y el punto Q de la recta s cuyo vector PQ sea la perpendicular común de ambas rectas.

    replythumb_up0 voto/sflag
    icon

    César
    el 3/1/17

    icon

    Antonius Benedictus
    el 3/1/17


    thumb_up1 voto/sflag
  • icon

    Alejandro Expósito
    el 3/1/17

    (∛12×√3)+√6

    alguien me ayuda porfavor?



    replythumb_up0 voto/sflag
    icon

    Ángel
    el 3/1/17

    (∛12×√3) queda:



    √6 es igual a √2√3


    ENTONCES LA SOLUCIÓN SERÍA:

    35/6∛4 + √2√3

    thumb_up0 voto/sflag
  • icon

    Alejandro Casas Gomez
    el 3/1/17

    Hola, soy Alejandro y estoy en 3º de la ESO y tengo un ligero problema con un sistema de ecuaciones, a ver si me las podeis explicar porque lo he intentado por todos los metodos de resolución que he podido y no me sale. Gracias por la ayuda.


    Si (x2 + y2 = 212                el valor de I x2 - y2 I = ¿?

         (x + y =18              

    replythumb_up0 voto/sflag
    icon

    Guillem De La Calle Vicente
    el 3/1/17


    thumb_up0 voto/sflag
    icon

    Ángel
    el 3/1/17

    Despejas el valor y de la segunda ecuación y queda:

    x=18-y

    Sustituyes x=18-y en x2 + y2 = 212

    y obtienes: (18-y)2 + y2 = 212,

    que desarrollándolo y despejando la ecuación de segundo grado te quedan 2 soluciones:

    y1=14     y2=4


    Sustituimos y1=14     y2=4    en la ecuación  x=18-y


    Y obtenemos estas soluciones:

    ---------->Para y1=14:    x1=18-14=4

    ---------->Para y2=4:    x1=18-14=14


    Para ambas soluciones en |x2-y2| te da 180, porque el valor absoluto de -180 y +180 es el mismo

    Solución1= |x12-y12| = |42-142| = |16-196| = |-180| = 180

    Solución2= |x22-y22| = |142-42| = |196-16| = |180| = 180


    thumb_up0 voto/sflag
  • icon

    Ramón
    el 3/1/17