Foro de preguntas y respuestas de Matemáticas

logo beUnicoos
Los foros de unicoos se han unificado en nuestra nueva plataforma beUnicoos. Para dejar nuevas preguntas deberás hacerlo allí, donde además podrás encontrar nuevas asignaturas y herramientas para ayudarte más con tus estudios.

  • icon

    Lucía
    el 3/1/17

    Hola, no se cómo empezar este ejercicio. Hay algún video? Tengo la mitad del a pero me dan números muy grandes y con el π me lio. 

    replythumb_up1 voto/sflag
    icon

    Guillem De La Calle Vicente
    el 3/1/17


    thumb_up0 voto/sflag
    icon

    Guillem De La Calle Vicente
    el 3/1/17


    thumb_up0 voto/sflag
  • icon

    María
    el 3/1/17


    Hola, he calculado la derivada de esta funcion pero no se si esta bien o hay que simplificar mas. Y como puedo calcular los extremos relativos de la funcion principal? 

    replythumb_up0 voto/sflag
    icon

    Ángel
    el 3/1/17

    f(x) quedaría así:


    La derivada f´(x) es esta:

    ....y por comodidad para los cálculos posteriores simplificamos y queda:



    thumb_up0 voto/sflag
  • icon

    Lucía
    el 3/1/17

    Hola, necesito de donde tengo que sustituir para que me salgan las asindota verticales u horizontales. 

    replythumb_up1 voto/sflag
    icon

    Ramón
    el 3/1/17

    En este video David lo explica muy bien ;) https://www.youtube.com/watch?v=yoAPeT7_mq8

    thumb_up0 voto/sflag
  • icon

    Raquel
    el 3/1/17

    como se llega a conseguir los gramos del ejercicio 8 ? Gracias

    replythumb_up0 voto/sflag
    icon

    Ángel
    el 3/1/17

    En http://www.unicoos.com/foro/quimica podrán ayudarte mejor que aquí 

    thumb_up1 voto/sflag
  • icon

    Mario
    el 3/1/17

    hola unicoos feliz 2017

    alguien me ayuda con este ejercicio y las propiedades. estoy medio oxidado en el tema.


    replythumb_up0 voto/sflag
    icon

    Antonius Benedictus
    el 3/1/17


    thumb_up1 voto/sflag
  • icon

    sandra rubio
    el 3/1/17

    Me podrían explicar los resultados, ya supongo que en el c) el numerador es mayor y en el d) es mayor el denominador, pero no se porque. Muchas gracias.

                           

    replythumb_up0 voto/sflag
    icon

    Ángel
    el 3/1/17

    Tenemos:

    lim(x->inf) ex/x2    Aplicamos L´Hopital y queda:

    lim(x->inf) ex/2x    Aplicamos L´Hopital y queda:

    lim(x->inf) ex/2      Sustituimos x por infinito y obtenemos:

    INFINITO


    Tenemos:

    lim(x->inf) lnx/x   Aplicamos L´Hopital y queda:

    lim(x->inf) (1/x)/1 = lim(x->inf) (1/x)

     Sustituimos x por infinito y obtenemos:

    CERO


    thumb_up0 voto/sflag
  • icon

    Estela Gutiérrez
    el 3/1/17

    Hola! Necesito ayuda con este ejercicio de intervalos de confianza. Gracias!

    replythumb_up0 voto/sflag
    icon

    Antonius Benedictus
    el 3/1/17


    thumb_up1 voto/sflag
  • icon

    Santiago AP
    el 3/1/17

    Hola. por favor me podrian ayudar con este ejercicio:

    la siguiente expresion esta dada de forma explicita: 3xy+y^2+5y^3=12xy^3 +x

    Hallar la segunda derivda en el punto (2,2)


    replythumb_up0 voto/sflag
    icon

    Antonius Benedictus
    el 3/1/17

    Foto del enunciado original, por favor.

    thumb_up0 voto/sflag
  • icon

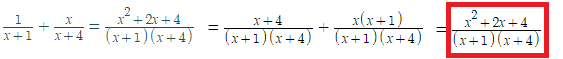
    Lucía
    el 3/1/17

    Hola, necesito una ayuda con la integral de esta función: 1/(x+1) + X/(x+4). Me da una cosa muy grande y no consigo terminarla. 

    replythumb_up0 voto/sflag
    icon

    Ángel
    el 3/1/17


    thumb_up0 voto/sflag
  • Usuario eliminado
    el 3/1/17

    Holaaa, necesito ayuda con un logaritmo

    Dado este logaritmo : Log2 8√x5/y sacar el loga X=1.2 y log2 Y=3.1

    replythumb_up0 voto/sflag
    icon

    Ángel
    el 3/1/17

    Pon el enunciado original

    thumb_up0 voto/sflag