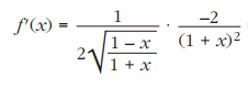
Hola, si me pudieran explicar como simplifico esto después de haber hecho la derivada. Muchas gracias.

Observa que puedes simplificar el factor -2 del numerador con el factor 2 del denominador, y observa que el factor con raíz cuadrada puede escribirse:
1 / √( (1-x)/(1+x) ) = ( √( (1-x)/(1+x) )-1 = √( ( (1-x)/(1+x) )-1 ) = √( (1+x)/(1-x) ) = ( (1+x)/(1-x) )1/2 = (1+x)1/2/(1-x)1/2.
Luego, después de simplificar los factores numéricos, la expresión queda:
f ' (x) = - (1+x)1/2/(1-x)1/2 * (1+x)-2, simplificamos potencias con bases iguales y queda:
f ' (x) = - (1+x)-3/2 / (1-x)1/2 = - 1 / ( (1+x)3/2 * (1-x)1/2 ).
Espero haberte ayudado.
en el ejercicio pone que multiplique por el mcm de los denominadores y simplifique, hay que multiplicar la parte de arriba y la de abajo por 24?

Observa que el máximo común divisor entre 3, 8 y 12 es 24. Luego, multiplicamos al numerador y al denominador en cada término para obtener el mínimo común denominador:
8(x-2)(x+1) / 3*8 - 3*(3x-1)2 / 3*8 + 2*(2x-3)(2x+3) / 12*2 = resolvemos denominadores, distribuimos numeradores y queda:
= ( 8x2 - 8x - 16 - 27x2 + 18x - 3 + 8x2 - 18 ) / 24 = reducimos términos semejantes en el numerador y queda:
= ( -11x2 + 10x - 37 )/24.
Espero haberte ayudado.

Hola Elena,
Aquí tienes otra ecuación similar a esa, aunque algo más sencilla, que te puede ayudar a comprenderlo mejor.
Ecuación racional 02 SECUNDARIA
Un saludo.
SB!!
Pero en una ecuación, es necesario encontrar el valor de las incógnitas, no? Y en este caso, se tiene que simplificar. Yo no diría que es una ecuación, como lo veis? En el vídeo que ha pasado, vemos que encuentra el valor de x; en este caso simplemente simplificamos la expresión.
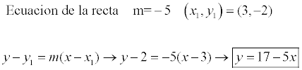
Calcula la ecuacion de la recta conocida su pendiente y un punto que pasa
La ecuacion de la Recta que pasa (3,-2) con pendiente m=-5
Buenos días, Miguel. El punto que te da alude a que cuando X=3, Y=-2. Por lo tanto, habrá que sustituir esos datos, más el de la pendiente, m=-5, en la fórmula de las funciones afines (Y=mx+n), ya que no se sabe si la función es lineal o afín. Sustituyendo los datos, la n resulta en un número distinto de cero, con lo cual no es una lineal.
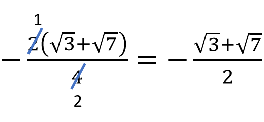
Hola a ver si me podéis ayudar, mi enunciado pide racionalizar esta fracción y a mi me da lo siguiente:
Y en las soluciones de mi libro pone que el resultado es menos raíz de 3 más raíz de 7 partido raíz de 2...

Hola Esteban , bueno cuado te dicen racionalizar preguntate que debes racionalizar, la hoja que capturaste la foto dice racionalizar, pero como casi siempre es el denominador, con el objetivo de eliminar toda raiz del mismo, pero bueno ese no es el punto. En tu proceso solo te falto simplificar de manera directa, o descomponiendo factores (Factorizar), el factor comun del denominador es el dos, que se simplifica con el denominador. AAhhy el signo menos se ve mas bonito en el signo de la fracción , toda fraccion tienes tres signos (El del denominador,numerador y el de la fracción), trata de siempre dejar el signo fuera, Saludos. Adios. Godd bye. Espero que te sirva mi información.

Hola
En primer lugar la condición de que dos rectas deben cumplir para que sean perpendiculares, es que producto de sus pendientes sea -1 , es decir al multiplicar el (-1/2)(m)=-1
Despejando m=2 (la pendiente de la recta que te piden.
Como toda recta que sea una función tiene una expresión de la forma y=mx+b
Donde:
b (es el intercepto con el eje de las ordenadas, eje y)
Como se que esa recta pasa por el punto dado, sustituyo ese punto (x,y)
x=1
y=-1
-1=2(1)+b ....... entonces b=-1
La recta que satifasce el problema es y=2x-3
Espero haberte ayudado, saludos.

Vamos con el segundo problema:
observa que tienes el punto que pertenece a la elipse, cuyas coordenadas son: A(3√(3)/2,2), que puede escribirse: A( √(27)/2 , 2 ).
Luego, observa que la ecuación D corresponde a una hipérbola.
Luego, puedes reemplazar y en las ecuaciones por la ordenada del punto A: √(27)/2, y verás que se verifica la ecuación B:
x2/9 + y2/16 = 1, reemplazamos la ordenada del punto A y queda:
x2/9 + (2)2/16 = 1, resolvemos el segundo término y queda:
x2/9 + 4/16 = 1, resolvemos el segundo término, hacemos pasaje de término y queda:
x2/9 = 1 - 1/4, resolvemos el segundo miembro, hacemos pasaje de divisor como factor y queda:
x2 = (3/4)*9, resolvemos el segundo miembro, hacemos pasaje de potencia como raíz y queda:
x = ±√(27/4), de donde tenemos dos opciones:
a) x = √(27/4), que es la abscisa del punto A, por lo que concluimos que pertenece a la elipse;
b) x = - √(27/4), que es la abscisa de otro punto, que también pertenece a la elipse.
Espero haberte ayudado.