Buenas tardes , por favor me podrían ayudar a plantear este problema:
Dado el polinomio P(x) = 3x 4 -5x 3 +4x 2 - mx +n , Calcula m y n sabiendo que este polinomio es divisible entre x-1, y que el resto de dividirlo entre x+2 es 101.
Pues eso que no se plantearlo creo que tengo que hacer Rufinni pero luego no se como tengo que calcular m y n , vaya que necesito que me orienten un poco por favor. Gracias .
Hola ¿alguien podría ayudarme por favor? Por lo que estuve leyendo la función tiene que ser biyectiva, es decir inyectiva y suryectiva, para que tenga función inversa ¿Ésto es así o estoy equivocada?
GRACIAS

Me encantaría ayudarte, pero no respondo dudas universitarias que no tengan que ver específicamente con los videos que ya he grabado como excepcion. O de otras asignaturas que no sean matemáticas, física y química. Lo siento de corazón… Espero lo entiendas
Ojalá algun unicoo universitario se anime a ayudarte (de hecho lo ideal es que todos los universitarios intentarais ayudaros los unos a los otros)
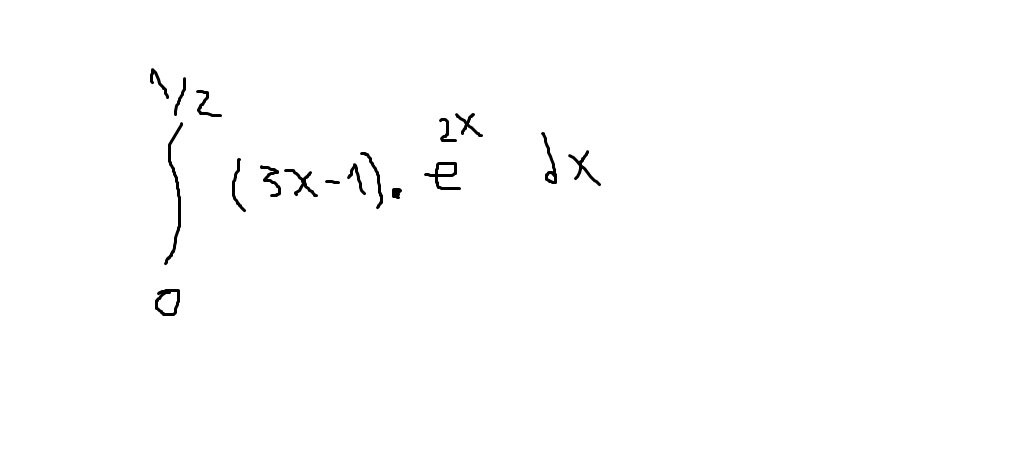
Hola amigos,como les va? TENGO QUE RENDIR UN FINAL y a este ejercicio me cuesta,lo eh intentado hacerlo con el metodo de sustitucion y no se puede ,pregunta:¿ se podra hacer por el metodo por partes de integracion ? ![]()
Buenas tardes. No se si estos ejercicios tienen mucha complicacion para el foro, son de integrales triples.
En este no se como hallar los limites de integración debido a que no se como proceder con y>z.
En este obtengo pasando a cilindricas que 0<r<cosΘ y que 0<z<√ (1-r^2). ¿Cual sería el limite de Θ?
Muchas gracias por su tiempo. Un saludo.

Me encantaría ayudarte, pero no respondo dudas universitarias que no tengan que ver específicamente con los videos que ya he grabado como excepcion. O de otras asignaturas que no sean matemáticas, física y química. Lo siento de corazón… Espero lo entiendas
Ojalá algun unicoo universitario se anime a ayudarte (de hecho lo ideal es que todos los universitarios intentarais ayudaros los unos a los otros)