Hola Juan. Aquí te viene una ayudita.
En primer lugar, consideremos R(radio grande)=6, y r(radio pequeño)=2
Ahora bien, hay que pensar que nos piden calcular la diferencia de la zona sombreada y la zona sin sombrear. Para ello calculamos el área total puesto que ATOTAL = ASOMBREADA + ASIN.SOMBREAR
Calculamos en primer lugar el área TOTAL del semicírculo. πR2/2=π62/2=18π
Ahora calculemos el área SIN SOMBREAR.
- Área semicírculo pequeño. πr2/2=π22/2=2π
- Área restante de zona sin sombrear cubierto por un ángulo de 60º. En primer lugar, como la solución trabajan con radianes, transformemos 60º a radianes, con una regla de 3.
x=60π/180 = π/3
Ahora bien, decimos πR2/2·(π/3)/π - πr2/2·(π/3)/π
Antes de continuar cabe destacar que el (π/3)/π es el porcentaje del área que estamos calculando. Es como decir, 60º/180º
Simplificamos y calculamos πR2/2·(π/3)/π - πr2/2·(π/3)/π = π62/2·1/3 - π22/2·1/3 =36π/6-4π/6 = 32π/6 = 16π/3
Ahora calculamos el área total sin sombrear. 2π + 16π/3 =(6π+16π)/3 = 22π/3
Ahora calculamos el área SOMBREADA, como ATOTAL = ASOMBREADA + ASIN.SOMBREAR; ASOMBREADA = ATOTAL- ASIN.SOMBREAR = 18π - 22π/3 = (54π - 22π)/3 = 32π/3
Por último, calculamos lo que nos piden, la diferencia de las dos áreas, el área sombreada y la área sin sombrear. 32π/3 - 22π/3=10π/3
Solución. Apartado a
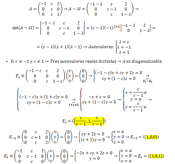
Buenas, me han facilitado un ejercicio tipo a poner en el examen de algebra (imagen) y no se muy bien como resolverlo alguien me puede echar una mano. Gracias

Vamos con la demostración de la tesis inductiva:
(1 + a)n+1 = (1 + a)n(1 + a) ≥ aplicamos la hipótesis inductiva ≥ (1 + na)(1 + a) = distribuimos:
= 1 + na + a + na2 = 1 + (n + 1)a + na2 ≥ restamos el término na2 (observa que na2 es positivo) ≥ 1 + (n + 1)a.
Espero haberte ayudado.
Hola, buenas noches. Llevo un par de horas tratando de resolver este límite, a ver si me podéis echar un cable:
Sé que tiene que dar eso, pero no consigo llegar a ello. Gracias de antemano

Vamos con una ayuda:
observa que puedes multiplicar al numerador y al denominador por √(1 - cosx), luego, la expresión de la función queda:
Numerador: N = senx√(1 - cosx),
Denominador: D = √(1 + cosx)√(1 - cosx) = √( (1 + cosx)(1 - cosx) ) = √(1 - cos2x) = √(sen2x) = |senx| = - senx (1).
Luego, pasamos al cálculo del límite:
Lím(x→π+) senx/√(1 + cosx) = Lím(x→π+) ( senx√(1 - cosx) / (-senx) ) = simplificamos = Lím(x→π+) √(1 - cosx) / (-1) = √(2) / (-1) = - √(2).
Luego, vamos a la llamada (1), para justificar cómo quedó el denominador de la expresión del argumento del límite:
Recuerda la propiedad de simplificación entre raíces con índice par y potencias con exponente par (en este caso tenemos índice igual a 2 y exponente igual a 2):
√(u2) = |u|.
Luego, observa que cuando x tiende a π por la derecha, la función senx toma valores negativos, por lo que tenemos (recuerda la definición de valor absoluto):
|senx| = - senx.
Espero haberte ayudado.
Hola Profes, tengo una duda sobre una regla mnemotécnica que encontré en Internet, es PAPOMUDAS e indica el orden de "que" resolver primero.
1)Paréntesis
2) potencias
3) multiplicación y división
4) adición y sustracción.
Sucede que me han comentado que no es así, pero no me han sabido explicar el motivo de por que esta regla no sirve, así que por este motivo viene mi pregunta, porque se que aquí en Unicoos hay muchos expertos y se puede llegar a algo más concreto.

Está bien, solo que recuerda que multiplicaciones y divisiones están en el mismo nivel, uno por encima de las sumas y restas (que está en otro igual). Esto significa que si tienes una sucesión de sumas y restas o multiplicaciones y divisiones las puedes resolver en el orden que quieras.

Saludos Aleatorius.
La regla que indicas no está del todo mal, pero te puede llevar a errores muy comunes a la hora de realizar operaciones. Por ejemplo el de pensar que se hacen antes las multiplicaciones que las divisiones, cuando no es así.
¿Cuál sería el valor de 2 * 3 : 3 * 2 ? Si hacemos caso a tu regla saldría 1, cuando el verdadero valor sería 4.
En el caso de la suma y la resta ocurre lo mismo, aunque no es tan peligroso lo de hacer primero las sumas (siempre y cuando respetes los signos de los negativos), pero también ambas operaciones están en el mismo nivel de jerarquía y no diferente, como pudiera parece en tu regla.
Por último decirte que te falta una operación más que es la de las raíces, las cuales están al mismo nivel que las potencias.
RESUMIENDO:
1º Haz el interior de los paréntesis o corchetes o cualquier pareja de símbolos que se usan para agrupar operaciones, HASTA QUE SOLO TE QUEDE UN NÚMERO en su interior.
2º Haz las potencias y raíces.
3º Haz las multiplicaciones y divisiones. En el caso de estar enlazadas, hazlas de IZIQUIERDA a DERECHA.
4º Por último, haz las sumas y restas. Recomendado hacerlo sumando los positivos y negativos por un lado para luego restar la suma de positivos menos la de negativos.
Espero haberte podido ayudar.
Un saludo.
SB!!
si tuviera los dos extremos negativos ¿cómo sería si elevo todo al cuadrado?
por ejemplo si tuviera
-5/4 <x< -3/4
Hola Sara, a ver si me explico bien.
Al final lo importante es que cambias a los dos de signo, es como si pasaras el signo - de un lado a otro. Ademas hay que tener en cuenta que el número que buscas, la "x", también la elevas al cuadrado. Es decir, quedaría 25/16>x2>9/16.
Creo que es más fácil considerar el cambio de signo, que es seria de la siguiete forma, 5/4>x>3/4. Para mí, más fácil e intuitivo.
Saludos y a seguir trabajando.

Tienes la doble inecuación:
-5/4 < x < -3/4,
que puedes escribir (recuerda que √(x2) = |x|, y que x toma valores negativos comprendidos estrictamente entre -5/4 y -3/4, por lo que tienes
que x = -|x|):
-5/4 < -|x| < -3/4,
luego multiplicamos por -1 en los tres miembros (recuerda que cambian los sentidos de las desigualdades) y queda:
5/4 > |x| > 3/4,
luego escribimos la doble inecuación como se la lee de derecha a izquierda y queda:
3/4 < |x| < 5/4,
luego elevamos al cuadrado en los tres miembros (observa que son todos positivos, y que la función y = x2 es creciente) y queda:
(3/4)2 < |x|2 < (5/4)2,
resolvemos los tres miembros (recuerda que |x|2 = x2) y llegamos a:
9/16 < x2 < 25/16.
Espero haberte ayudado.

Es exactamente como dice Silvio, recuerda que al sumar, restar los miembros de la inecuación los signos de (<,>,≤, ≥ ) se mantienen, pero cuando multiplicas por un numero real negativo, los signos ya mencionados no se mantienen. Ejemplo...
16x-3<4x (al multiplicar ambos miembros de la inecuacion por -2)
-32x+6>-8x
puff un gusto ayudarte. Saludos.
-------------------------COMBINATORIA------------------------
52.- En un plano hay 30 puntos, no habiendo 3 en línea recta excepto 5 que sí lo están:
a) ¿Cuántos triángulos se pueden formar con vértice en dichos puntos?---------->Rta 4050
b) ¿Cuántas rectas determinan?----------------------------------------------------------------------->Rta 426
- Aclaro que aunque las respuestas que figuran son esas, tengo mis dudas, yo llegue a 4060 y 435.

Observa que tienes treinta puntos en total, de los cuales veinticinco no están alineados de a tres, y cinco que si están todos alineados.
Llamemos A al conjunto de los puntos que no están alineados de a tres, y llamemos B al conjunto de puntos que están todos alineados.
a) Observa que podemos construir tres clases de triángulos:
1) Los que tienen los tres vértices pertenecientes al conjunto A, que en total son:
N1 = C(25,3) = 25! / 3!22! = 2300.
2) Triángulos con dos vértices pertenecientes al conjunto A y un vértice perteneciente al conjunto B, que en total son:
N2 = C(25,2)*C(5,1) = (25! / 2!23!) * (5! / 1!4!) = 300*5 = 1500.
3) Triángulos con un vértice perteneciente al conjunto A y dos vértices pertenecientes al conjunto B, que en total son:
N3 = C(25,1)*C(5,2) = (25! / 1!24!) * (5! / 2!3!) = 250.
Luego, por el principio de adición, la cantidad de triángulos queda:
N = N1 + N2 + N3 = 2300 + 1500 + 250 = 4050.
b) Observa que podemos construir tres clases de rectas:
1) Rectas determinadas por dos puntos pertenecientes al conjunto A, que en total son:
n1 = C(25,2) = 300.
2) Rectas determinadas por un punto perteneciente al conjunto A y un punto perteneciente al conjunto B, que en total son:
n2 = C(25,1)*C(5,1) = 125.
3) Rectas determinadas por dos puntos pertenecientes al conjunto B, y como están alineados todos los puntos del conjunto, tenemos en total:
n3 = 1.
Luego, por el principio de adición, la cantidad de rectas queda:
n = n1 + n2 + n3 = 300 + 125 + 1 = 426.
Espero haberte ayudado.
Tengo este problema de interpolación y extrapolación. Se que se hace mediante y=mx+n pero me sale un resultado que por logica no debe ser.
Un empresario observa que el número de unidades que vende diariamente de un producto depende del precio del mismo según lo siguiente: 0,6€ vende 20 unidades; si el precio es 1€ vende 12.
Estima mediante interpolación lineal cuántas unidades del producto se venderían diariamente si el precio fuera de a. 0,90 € y b. 1,15 €.
Miles de gracias por la ayuda!
Hola Sonia,
Te doy unas indicaciones para que puedas plantear el problema.
1. Tienes dos puntos, por lo que podrás sacar la recta que pasa por ambos puntos. (X - X1)/(X2-X1) = (Y - Y1)/(Y2 - Y1) (Ojo con la prioridad de los signos y operaciones).
2. Te dará una recta con pendiente negativa del tipo Y = mx + n (donde n será un número negativo).
3. Con la recta, sólo tendría que sustituir los valores X = 0,9 y X = 1,15 y obtendrías los valores de Y.
(Sol: 14 y 23)

Hola Roberto,
Gracias por la respuesta. No tengo que representarlas, sino plantear las dos ecuaciones. Sé que me tiene que dar por logica 14 y 9 pero al plantear las ecuaciones no sale. lo tengo asi:
A (0, 12) Y = mx + n -> 12= m0 + n -> n=12
B (-0,4, 20) m(-0,4) + 12 -> m= - 62
Cuando sustituimos Y= -62 x -0,01 - 12 No sale el resultado.
¿cual es el error del planteamiento de A y B?
Buenas tardes , me podrían ayudar a plantear el siguiente problema:
Dado el polinomio P(x) = 3x 4 -5x3 + 4x2 - mx + n , Calcula m y n sabiendo que este polinomio es divisible entre x-1 y que el resto de dividirlo entre x+2 es 101.
Por favor me pueden orientar como plantearlo se que tengo que hacer Ruffini pero no se como empezar ni como calcular m y n. gracias un saludo