Alguien me puede pasar estos ejercicios hechos. Asi puedo ver lo que habeis hecho paso a paso. Jo nose ni por donde empezar. Se trata del ejercicio 5. Pone: calcula y simplifica lo que puedas. Gracias![]()

Echale un vistazo... Debes pasar los radicales a indice comun.. Operaciones con radicales 01 - Multiplicacion
Y despues si puedes simplificar los resultados extrayendo factores de la raiz... Operaciones con radicales 02- Extraer factores
Se trata de que DESPUES DE IR A CLASE (ver los vídeos relacionados con vuestras dudas) enviéis dudas concretas, muy concretas. Y que nos enviéis también todo aquello que hayais conseguido hacer por vosotros mismos. Paso a paso, esté bien o mal. No solo el enunciado, pero no olvidéis de adjuntarlo de forma LITERAL, para saber que os piden. De esa manera podremos saber vuestro nivel, en que podemos ayudaros, cuales son vuestros fallos.... Y el trabajo duro será el vuestro. Nos cuentas ¿ok? #nosvemosenclase ;-)

Planteamos la Magnitud del terremoto ocurrido en Dúrcal: 7 = log(Ad/Ao), luego
planteamos la Magnitud del terremoto ocurrido en Frailes: 3,8 = log(Af/Ao).
Luego componemos en ambas ecuaciones con la función inversa del logaritmo decimal (o neperiano) y quedan:
10^7 = Ad/Ao,
10^3,8 = Af/Ao
Luego dividimos miembro a miembro y queda:
10^7 / 10^3,8 = Ad/Af, aplicamos la propiedad de la división de potencias con bases iguales y queda:
10^(7-3,8) = Ad/Af, resolvemos el exponente y queda:
10^3,2 = Ad/Af, resolvemos a la izquierda y llegamos a:
1584,89 = Ad/Af.
Espero haberte ayudado.

24α67890A.... Suma todos las cifras... 2+4+6+7+8+9+α = 36+α
Para que sea A, la division de (36+α) entre 23 debe darte de resto 3 (pues A corresponde al 3)
El cociente será 1 como mucho.. Por tanto 1.23 +3= 36+α ... α= 26-36=-10, que no es valido pues α debe ser un numero entero positivo comprendido entre 0 y 9...
2α041327Y .... 2+4+1+3+2+7+α=19+α... La división entre 19+α y 23 debe darte de resto 6.... Por tanto 1.23 +6= 19+α.... 29=19+α... α=10.... No es posible tampoco...
Hola amigos, tengo una duda al respecto de este ejercicio. Al principio no supe como plantearlo, pero creo que es de esa forma, si alguien revisara si resolví de forma correcta este enunciado de limites le agradecería.![]()

Observa que el límite de los denominadores es 0, por lo que no puedes plantear cocientes de límites en cada expresión por separado.
Pero si puedes plantear el límite del cociente entre las dos expresiones (observa que es igual a: 4/(-6) = -2/3 (*)), y tienes:
Lím(x-->1) ( f(x)/(1-x³) ) / Lím(x-->1) ( g(x)/(1-x²) ) =
aplicamos la propiedad del límite de una división de funciones (observa que el límite del divisor no es 0):
= Lím(x-->1) ( f(x)/(1-x³) ) / ( g(x)/(1-x²) ) = resolvemos la división entre expresiones fraccionarias en el argumento del límite:
= Lím(x-->1) ( f(x)*(1-x²) / f(x)*(1-x³) ) = expresamos el argumento como producto de expresiones fraccionarias:
= Lím(x-->1) ( f(x)/g(x) * (1-x²)/(1-x³) ) = aplicamos propiedad del límite de un producto de funciones:
= Lím(x-->1) f(x)/g(x) * Lim(x-->1) (1-x²)/(1-x³) = factorizamos en la expresión del argumento del segundo límite:
= Lím(x-->1) f(x)/g(x) * Lim(x-->1) ( (1-x)(1+x) / (1-x)(1+x+x²) ) = simplificamos factores en el argumento del segundo límite:
= Lím(x-->1) f(x)/g(x) * Lim(x-->1) ( (1+x) / (1+x+x²) ) = resolvemos el segundo límite:
= Lím(x-->1) f(x)/g(x) * 2/3.
Luego planteamos (recuerda la observación señalada (*)):
Lím(x-->1) f(x)/g(x) * 2/3 = -2/3, hacemos pasaje de factor como divisor, resolvemos a la derecha y llegamos a:
Lím(x-->1) f(x)/g(x) = -1.
Espero haberte ayudado.
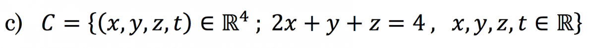
Hola buenos dias, en este ejercicio me preguntan si este subconjunto es espacio vectorial, pero no se como hacerlo. Muchas gracias por la paciencia.![]()

Observa que los vectores
Luego, si C es subespacio de R^4 deben cumplirse tres condiciones:
1) El vector nulo de R^4 (N = <0,0,0,0>) debe pertenecer a C).
2) La suma de dos vectores pertenecientes a C debe pertenecer a C.
3) El producto de un escalar (k perteneciente a R) por un vector perteneciente a C debe pertenecer a C.
Observa, como dice el colega Antonio, que no se cumple la primera condición:
N = <0,0,0,0>, observa que sus componentes son: x=0, y=0, z=0,t=0, luego planteamos la condición (*) que deben cumplir los vectores pertenecientes a C:
2x + y + z = reemplazamos las componentes del vector nulo = 2*0 + 0 + 0 = 0 ≠ 4, por lo que tenemos que el vector nulo de R^4 no pertenece al conjunto C, y concluimos:
C no es un subespacio de R^4 (recuerda que llamamos subespacio vectorial a un espacio vectorial incluido en otro espacio vectorial).
Espero haberte ayudado.
Una pregunta, que no me aclaro...
Si me dicen que hay 10 muestras, 4 con fallo.
Se sacan 2 de las muestras de manera aleatoria, cual es la probabilidad de que las dos muestras tengan fallo?
Prim ≡ ' La primera muestra tiene fallo '
Seg ≡ ' La segunda muestra tiene fallo '
No se si lo que estoy buscando es P(Prim∩Seg) o P(Seg|Prim). Que diferencia hay?

Si se extraen las dos muestras sin orden y en forma simultánea, tienes (llamamos X: cantidad de muestras con fallos extraídas), planteamos:
p(X=2) = C(4,2) * C(6,0) / C(10,2) = 6*1/45 = 2/15.
Si las extracciones se hacen una a la vez y sin reposición, planteamos:
p(X=2) = 4/10 * 3/9 = 2/5 * 1/3 = 2/15.
Espero haberte ayudado.
Hola! Necesito saber como hacer para hallar perpendicular de la ecuación y = 4 que pasa por el punto ( 4 ; 1).
Necesitaría saber como desarrollarlo.
Muchas gracias!