Cómo sería la simplificación de cos^3(x ) a través de la fórmula de Moivre?
Hoola! ¿Me explican paso a paso cómo se halla el dominio de esta función:
(x,y) ∈ R^2 : x + y -1 > 0 }?
¿Y esta? {(x,y)∈ R^2: x^2/9 + y^2/4 > 1}
Estoy un poco bloqueado con las funciones de más de una variable Gracias
sabiendo el log 7 que es 0.8451 debo averiguar log28+log15-log6
yo he hecho esto: log2^2x7 + log3x5-log3x2
2log2+log7+log3+log5-log3-log2
2log2+log7+log10+log2-log2
2log2+0,8451+1 y ya nose proseguir URGENTE!!!!

a) Comencemos por despejar en la segunda ecuación (trabajamos con valores de x e y comprendidos entre 0 y 2π), componiendo con la función inversa del seno:
x + y = π/2, luego despejamos y queda:
y = π/2 - x (*), luego sustituimos en la primera ecuación y queda:
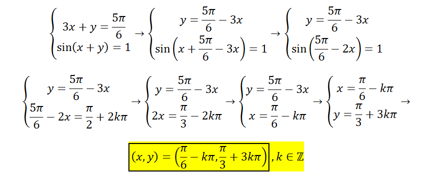
3x + π/2 - x = 5π/6, reducimos términos semejantes a la izquierda, hacemos pasaje de término, reducimos términos semejantes a la derecha y queda:
2x = π/3, hacemos pasaje de factor como divisor, resolvemos a la derecha y queda:
x = π/6, luego reemplazamos en la ecuación señalada (*) y queda:
y = π/2 - π/6, resolvemos y llegamos a:
y = π/3,
por lo que concluimos que en el intervalo [0,2π] la solución es: x = π/6, y = π/3.
b) Observa que en la primera ecuación debe cumplirse que sus factores tengan igual signo, porque el producto es igual a un número positivo, y lo mismo ocurre con la segunda ecuación, por lo que tenemos que:
1) x e y pertenecen ambos al primer cuadrante,
2) x e y pertenecen ambos al tercer cuadrante.
Luego, podemos dividir miembro a miembro (observa que todos los factores a la izquierda en ambas ecuaciones deben ser distintos de cero) y queda la ecuación:
senx* cosy / cosx*seny = 1, expresamos como producto de expresiones fraccionarias a la izquierda:
senx/cosx * cosy/seny = 1, sustituimos, con las identidades trigonométricas para tangente y cotangente:
tanx * cotgy = 1, hacemos pasaje de factor como divisor:
tanx = 1/cotgy, sustituimos a la derecha (recuerda que 1/cotgy = tany):
tanx = tany, luego, tenemos opciones:
1) Si tanx > 0 y tany > 0, tenemos: x = π/4, y = π/4.
2) Si tanx < 0 y tany < 0, tenemos: x = -π/4, y = -π/4.
Observa que hemos considerado valores de x e y pertenecientes al intervalo [0,2π].
Espero haberte ayudado.