
Comencemos por multiplicar por (1+i) en ambos miembros de la ecuación:
(1+i)(i-i)z³ = (1+i)², resolvemos y queda:
2z³ = 2i, hacemos pasaje de factor como divisor, resolvemos y queda:
z³ = i, expresamos a la unidad imaginaria en forma polar (observa que su módulo es 1 y que su argumento es 90°):
z³ = (1)(90°), hacemos pasaje d potencia como raíz (indicamos raíz cúbica con (3V))y queda:
z = (3V)( (1)(90°) ), aplicamos la fórmula de De Moivre para las raíces:
z = ( (3V)(1) )( (90° + 360°*k)/3 ), con k = 0, 1, 2,
resolvemos el módulo, distribuimos el denominador en el argumento y queda:
z = (1)( 30° + 120°*k ), con k = 0, 1, 2,
luego expresamos las raíces según los valores de k, resolvemos los argumentos y quedan (expresamos además en forma trigonométrica y en forma binómica::
z0 = (1)(30°) = cos30° + i*sen30° = V(3)/2 + (1/2)i,
z1 = (1)(150°) = cos150° + i*sen150° = - V(3)/2 + (1/2)i,
z2 = (1)(270°) = cos270° + i*sen270° = 0 - i.
Espero haberte ayudado.
Otra pregunta de probabilidad. Digamos que tenemos A1 A2 y A3 que son compatibles.
En caso de que me pidan P((noA1∩noA2)UA3) es posible decir que es lo mismo que P(noA1∩noA2∩noA3)+P(A3)?
He hecho un dibujo y es lo que me ha parecido.
a) P(A1 U A2) (me ha salido 0.36)
b) P(noA1 ∩ noA2) (me ha salido 0.64)
c) P(A1 U A2 U A3) (me ha salido 0.53)
d) P(noA1 ∩ noA2 ∩ no A3) (me ha salido 0.47)
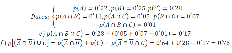
e) P(noA1 ∩ noA2 ∩ A3) (me ha salido 0.17)
f) P((noA1∩noA2)UA3) (aqui la pregunta, me ha salido 0.75)