Hola, tengo una duda, se trata de estudiar la continuidad y discontinuidad de una función (X^2 + lxl ) / (x^2 - lxl ) , no sé ni como plantearlo con valores absolutos, ¿alguien podría explicármelo o decirme algún video que explique como se estudia la continuidad de una función con valores absolutos?

Vamos con una orientación.
Debes tener en cuenta que la función valor absoluto es una función a trozos, en este caso:
|x| = x, si x > 0 (observa que x no puede tomar el valor 0 para la función con la que estás tratando),
|x| = - x, si x < 0.
Luego, la función puede escribirse como una función a trozos:
f(x) =
(x^2 + x)/(x^2 - x) = x(x + 1)/( x(x - 1) ) = (x + 1)/(x - 1) si x > 0 y x distinto de 1
no está definida si x = 0 o x = 1 o x = -1
(x^2 - x)/(x^2 + x) = x(x - 1)/( x(x + 1) ) = (x - 1)/(x + 1) si x < 0 y x distinto de -1
por lo tanto, observa que el dominio de la función queda: D = R - { -1 , 0 , 1 } = (-inf,-1) u (-1,0) u (0,1) u (1,+inf).
Luego puedes estudiar la función como seguramente lo has hecho en clase con otras funciones a trozos y, si es preciso, puedes volver a consultar.
Espero haberte ayudado.
¡Buenas! Mañana tengo examen de matrices, y me ha surgido una duda practicando para la que no encuentro vídeo. Si me dan una matriz no cuadrada (por ejemplo, ahora estoy con una 3x4) y te dicen que estudies el rango en función de parámetros (en este caso, k), ¿cómo la soluciono? Porque sé calcular rangos numéricamente por determinantes y por Gauss, pero al meter parámetros y no ser cuadrada... me pierdo. ¡Muchas gracias!

Resuelto por determinantes y por gauss:
https://www.youtube.com/watch?v=kKGvLfmz5Ug
https://www.youtube.com/watch?v=lZ2vD5Jl8B4
Hola,
Lo primero, vuestro canal de YouTube es genial, una gran labor didáctica.
Tengo problemas en comprender, o saber resolver con soltura, ejercicios de Hinducción matématica. Inducción Simple, Inducción Completa e Inducción Recursiva. Algunos ejemplos que puedan ayudarme?

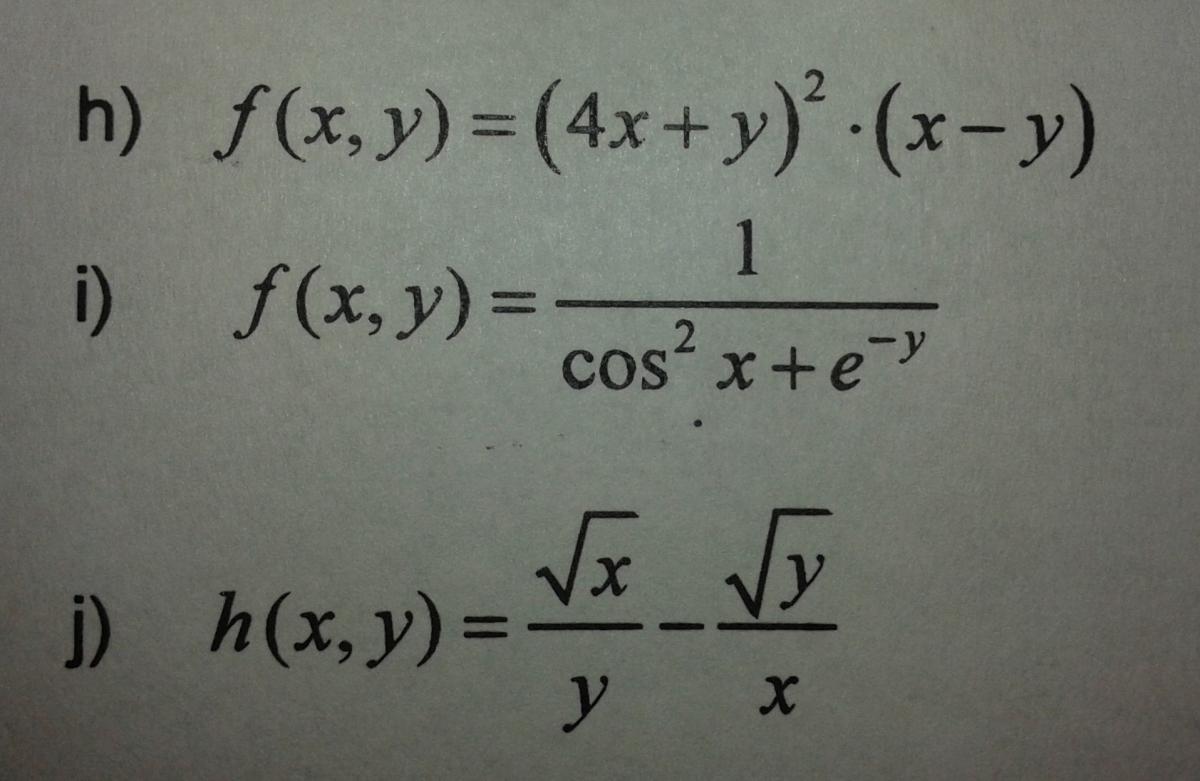
Te sugiero... Derivadas Parciales
A partir de ahí, se trata de que DESPUES DE IR A CLASE (ver los vídeos
relacionados con vuestras dudas) enviéis dudas concretas, muy concretas. Y que
nos enviéis también todo aquello que hayais conseguido hacer por vosotros
mismos. Paso a paso, esté bien o mal. No solo el enunciado. De esa manera
podremos saber vuestro nivel, en que podemos ayudaros, cuales son vuestros
fallos.... Y el trabajo duro será el vuestro. #nosvemosenclase Nos cuentas ¿ok?