
Observa que los caudales (cantidad de litros de agua por hora) de entrada de agua son, para cada caño:
q1 = 24/5 = 4,8
q2 = 24/6 = 4.
El caudal de salida es:
q3 = 24/10 = 2,4.
Luego, el caudal resultante será:
q = q1 + q2 - q3 = 4,8 + 4 - 2,4 = 6,4.
Todos los caudales están expresados en litros/hora.
Luego, llamemos t al tiempo que tardará en llenarse el tanque cuyo volumen expresado en litros es V = 24 (consideramos que al inicio está completamente vacío), y planteamos:
q*t = V, luego reemplazamos y queda:
6,4*t = 24, hacemos pasaje de factor y queda:
t = 24/6,4 = 3, 75 horas = 3 horas y 45 minutos.
Espero haberte ayudado.
Hola, buenas. A penas comienzo a ver el tema de Gauss pero no me ha quedado nada claro, quisiera ver si me pueden ayudar con este trabajo, necesito una explicación de la "inversa de la matriz" para poder resolver el sistema, les dejo la imagen:
Gracias de antemano !!

hola, mira lamentablemente no tienes culpa, pero desde ayer subi una pregunta y ya la he subido 3 veces y a todos le responden menos a mi :(, gauss lo se y manejo bien, pero en este momento estoy enfocada en mi tarea que sera calificada y estoy buscando vídeos y viendo libros y no puedo, si no encantada te hubiera ayudado y enviado la explicación con peras y manzanas (estudio pedagogía en mate y fue un ramo del semestre pasado), eso si te recomiendo, que es lo que ni a mi han echo en el foro OSEA ADORO A DAVID Y SUS VIDEOS, pero este foro parece que no sirve de nada, solo resuelven pero nadie explica ni menos envían luces de, pero bueno de eso no tienes culpa.
pero como te decia EN UNICOOS hay videos de gauss a mi me ayudo mucho para entender bien el tema, david los explica genial, así k míralos y si no puedes escríbeme y tendré que dejar de buscar mi tarea y ayudarte , si no para cuando lo necesitas, quizás en otro momento pueda ayudarte con mas calma, pero ahora algo colapsada, te dejo mi correo si quieres para consultas futuras, tengo harto material de álgebra lineal y en general de mate, bueno menos de convergencia y criterio de series convergente y no hay caso que encuentre frecklecita@gmail.com , y como te digo mira los videos de david y si no avisame y mañana puedo ayudarte o hoy si encuentro quien me ayude con mi tarea que yo no puedo llevo dos dias y nada :(
espero me entiendas y en otro momento feliz te ayudo
saludos

recorde esta pagina ingresa tu matriz aqui y pon inversa http://www.wolframalpha.com/
y si no esta pagina http://experymente.blogspot.cl/2013/10/calculadora-de-operaciones-en-una.html
la ultima no la he usado en realidad, pero si me dijeron que es maravillosa (la descubri hace poco y no he tenido tiempo para probarla) ingresa tu matriz en cualkera y te guiara paso a paso
exito, si te va mal me escribes y tendré que tirar lápiz
DE IGUAL MODO MIRA LOS VIDEOS DE DAVID PARA QUE APRENDAS EL TEMA

Muchas gracias Claudia, en efecto, los videos de David son demasiados buenos y si que me han servido, a diferencia de ti, en este foro si me han ayudado en varias ocasiones, ojalá pudiera ayudarte yo en tu problema pero las matemáticas no son mi fuerte, deseo que alguien te responda pronto :c sobre la página, lo tendré en mente y enseguida me pongo a revisarla. Saludos !!
César, muchas gracias por responder, la veré al mismo tiempo que el video de David para sacar conclusiones :3
Nos vemos !!
Lim x ->1 (1-x)tan[(1/2)πx]
(limite cuando "x" tiende a 1)

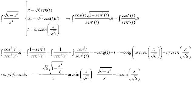
Vas muy bien. Cuando llegas al argumento:
( cost )^2 / (sent)^2 = por identidad pitagórica = ( 1 - (sent)^2 ) / (sent)^2 = distribuyes el denominador y simplificas en el segundo término = 1 / (sent)^2 - 1.
Luego, integras término a término (observa que son integrales directas) y queda:
I = - cotg(t) - t + C.
Espero haberte ayudado.

¿Y tu duda es?... Se trata de aplicar el teorema de PITAGORAS para hallar algunas distancias... Y luego sumar todas ellas para saber si es mayor o menor a la longitud del cable que tienes...
Por ejemplo, el cable del techo es la hipotenusa "h" de un triangulo de catetos a=√40+2 y b=(√2+1)/2... Por tanto h²=a²+b².. h²=(√40+2)²+[(√2+1)/2]²
Aplicando IDENTIDADES NOTABLES... Identidades notables
h²=√40²+2²+4√40+(√2²+1²+2√2)/4= 40+4+4√40+(2+1+2√2)/4= 44+4√40+(3+2√2)/4 = 44+4√40+3/4+√2/2
Por tanto h= √ [44+4√40+3/4+√2/2 ]
¿Lo intentas y nos cuentas?...