Buenas, me podrían ayudar a encontrar el término general de la siguiente sucesión:
(3/7), (5/10), (7/13), (9/16), (11/19)...
Gracias. :)

Contamos n a partir de 1
Numeradores: 2n + 1--> 3, 5, 7, 9, 11, ....
Observa que la diferencia entre numeradores consecutivos es 2.
Denominadores: 3n + 4 --> 7, 10, 13, 16, 19, ...
Observa que la diferencia entre denominadores consecutivos es 3.
Por lo tanto, el elemento general de la sucesión queda:
An = (2n + 1) / (3n + 4), con n pertenecienta a N, n >= 1.
Espero haberte ayudado.
Alguien me ayuda en éstasimplificación por favor (sec x - tg x)(secx+tgx)

Observa que al multiplicar tienes una diferencia de cuadrados:
(sec x - tg x)(secx+tgx) = (secx)^2 - (tanx)^2 = (1/cosx)^2 - (senx/cosx)^2 = distribuimos potencias en cada término:
= 1 / (cosx)^2 - (senx)^2 / (cosx)^2 = extraemos denominador común:
= ( 1 - (senx)^2 ) / (cosx)^2 = aplicamos identidad trigonométrica en el numerador:
= (cosx)^2 / (cosx)^2 = 1.
Espero haberte ayudado.
Hola alguien me podría ayudar con este ejercicio
Demostrar por inducción que para todo nombre natural n≥1 se cumple que 22n+15n-1 es múltiplo de 3

Tenemos la proposición:
P(n): 2^(2n) + 15n - 1 = 3*t, con t perteneciente al conjunto de los números naturales.
Vamos con el 5° axioma de Peano:
1) P(1): 2^(2*1) + 15*1 - 1 = 4 + 15 - 1 = 18 = 3*6, y t1 = 6 pertenece a los números naturales.
2) P(h): 2^(2h) + 15h - 1 = 3*t2, y t2 pertenece al conjunto de los números naturales (Hipótesis Inductiva, que aceptamos como Verdadera).
3) P(h+1): 2^(2(h+1) + 15(h+1) - 1 = 3*t3 y t3 pertenece al conjunto de los números naturales (Tesis Inductiva que debemos demostrar que es Verdadera).
Demostración:
P(h+1):
2^(2(h+1)) + 15(h+1) - 1 = distribuimos agrupamientos de términos:
= 2^(2h + 2) + 15h + 15 - 1 = aplicamos propiedad de las potencias y reducimos términos semejantes:
= 2^(2h) * 2^2 + 15h + 14 = resolvemos el factor numérico del primer término:
= 4 * 2^(2h) + 15h + 14 = sumamos y restamos 15h - 1 y agrupamos términos en el factor que no es numérico del primer término:
= 4 * ( (2^(2h) + 15h - 1) - (15h - 1) ) + 15h + 14 = distribuimos en el primer término:
= 4*( (2^(2h) + 15h - 1 ) - 4*15h + 4 + 15h + 14 = reducimos términos semejantes y resolvemos términos numéricos:
= 4*( (2^(2h) + 15h - 1 ) - 3*15h + 18 = aplicamos la Hipótesis Inductiva (observa el agrupamiento en el primer término):
= 4*3*t2 + 3*15h + 18 = extraemos factor común 3 en todos los términos:
= 3*( 4*t2 + 15h + 6 ) = nombramos t3 al agrupamiento:
= 3*t3.
Observa que la expresión: t3 = 4*t2 + 15h + 6, corresponde a un número natural, ya que en sus dos primeros términos tienes productos entre números naturales, por lo que resulta suma de tres números naturales.
Espero haberte ayudado.

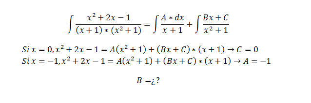
Observa bien las comparaciones entre numeradores de las expresiones fraccionarias que has planteado correctamente:
A(x^2 + 1) + (Bx + C)(x + 1) = x^2 + 2x - 1
Observa que tienes tres coeficientes para determinar en esta igualdad entre polinomios, por lo que debes reemplazar tres valores distintos en la incógnita x.
Para x = 0 queda:
A + C = - 1
Para x = 1 queda:
2A + 2(B + C) = 2
Para x = 3 queda:
10A + 4(3B+ C) = 14.
Y luego debes resolver el sistema de tres ecuaciones con tres incógnitas.
Espero haberte ayudado.
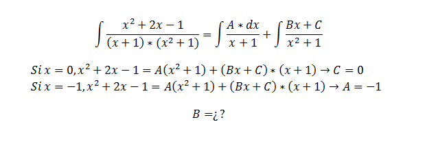
Como hago la siguiente integral?
Integral de (x^2+2x-1)dx/(-x^3-x^2-x-1)....
Tiene parte real e imaginaria, Cuando aplico Fracciones parciales, no logro conseguir el valor de B
A=-1
C=0

La derivada de la primera función es 12x.
La derivada de la segunda funcion es 2.e^(2x)..
La recta tangentes serán paralelas cuando 12x= 2.e^(2x)... 12x- 2.e^(2x) = 0
Para demostrar que existe al menos un valor que la cumple, deberás aplicar el teorema de Bolzano en ese intervalo...
Teorema de BOLZANO
unicoos ayudenme con el ejercicio de esecxsecxtanxdx, por favor la necesito, es mañana mi entrega de tarea, y usted lo sabe hacer muy bien

También puedes vsualizarla si aplicas la sustitución (cambio de variable):
w = secx = 1/cosx, de donde tienes:
dw = ( -1/(cosx)^2 )*(-senx)*dx = (1/cosx)*(senx/cosx)*dx = secx*tanx*dx.
Luego sustituyes y la integral queda:
I = Integral ( e^w * dw ) = e^w + C = e^(secx) + C.
Espero haberte ayudado.