Me ayudan :( necesito resolver de la pagina 241 ejercicio 142 el 28 33 34 35 :( ayuda

Además, se trata de que DESPUES DE IR A CLASE (ver los vídeos relacionados con vuestras dudas) enviéis dudas concretas, muy concretas. Y que nos enviéis también todo aquello que hayais conseguido hacer por vosotros mismos. Paso a paso, esté bien o mal. No solo el enunciado. De esa manera podremos saber vuestro nivel, en que podemos ayudaros, cuales son vuestros fallos.... Y el trabajo duro será el vuestro. #nosvemosenclase Nos cuentas ¿ok?
Unicoos, necesito calcular el lim x-> 0 de (1+(x2/3))(1/x), utilizando la fórmula de lim x->0 de (1+x)(1/x)=e, si bien se como realizar el procedimiento, tengo problema sobre como modificar mi funcion de forma que sea como la de la guia, mas precisamente el x2/3. No se si tengo que hacer alguna modificacion en la funcion, o no.
Unicoos, necesito de su ayuda: en el ejercicio pudee concluir que la ecuacion tiene como conjunto solucion entre 0 a 360º los conjuntos soluciones 30º y 90º qur hacen cierta esa igualdad. Pero la solucion del ejercicio me dice que es la opcion e) (90º,120º,330º) ENTONCES QUISIERA QUR ME AYUDARAN A COMO INTERPRETAR O SABER COMO LLEGARON A ESE CONJUNTO SOLUCION.![]()
![]()

Si, dedusco que se pudieron a ver tomado tambien el valor cuando arcsen1=90º y 270º y en el caso de arcsen-1/2=-30º entonces al observar en el grafico se toman los grados en el eje -Y porque arcsen-1/2 me dio negativo que seria 210º y 330º. Pero en mi caso la opcion seria la d) que es en donde se encuentran 3 de los grados conseguidos en la ecuacion... Mi conclucion es correcta?
Hola ! me podrían ayudar con estos ejercicios? el a ya lo hice, pero los otros no se como hacerlos
VECTORES
5. Dados los puntos A= (3,-2), B=(1,0) y C = (x,3), hallar:
a) AB, BA,AC,CB, ||AB||, ||BA||
b)para q valor de x, AC es paralelo al eje y
c)para q valor de x, ||AC|| = 5
d)para q valor de x; AC es paralelo a BA
e)para q valor de x, BC es perpendicular al eje y

¿y tu duda es?... ¿has visto los vídeos de GEOMETRIA en el PLANO?... Rectas
¿Y los de vectores? Vectores
NO DEBERÍAS TENER PROBLEMAS, POR EJEMPLO, PARA HALLAR UN VECTOR SI CONOCES SU ORIGEN Y SU FINAL ... Y tampoco para hallar su modulo...
B) El vector AC=(x-3,5)... Su pendiente es 5/(x-3) El eje "y".. tiene por vector unitario el (0,1), de pendiente 1...
Serán paralelos cuando tengan la misma pendiente.. Por tanto 5/(x-3)=1... 5=x-3... x=8...
Y así con todos...
Se trata de que DESPUES DE IR A CLASE (ver los vídeos relacionados con vuestras dudas) enviéis dudas concretas, muy concretas. Y que nos enviéis también todo aquello que hayais conseguido hacer por vosotros mismos. Paso a paso, esté bien o mal. No solo el enunciado. De esa manera podremos saber vuestro nivel, en que podemos ayudaros, cuales son vuestros fallos.... Y el trabajo duro será el vuestro. #nosvemosenclase Nos cuentas ¿ok?
Probabilidades :
Tres parejas de casados compran boletos para el teatro y se sientan en una fila compuesta por solo seis asientos. Cual es la probabilidad de que por lo menos dos de las esposas terminen sentadose al lado de su esposo?

Numeremos los asientos de 1 a 6.
1) Veamos cuántas opciones tenemos para ubicar a dos parejas (señalamos entre paréntesis las ubicaciones asignadas a parejas):
(12)(34)56 - (12) 3(45)6 - (12)34(56) - 1(23)(45)6 - 1(23)4(56) - 12(34)(56)
por lo que tenemos 6 posibilidades par ubicar seguras a dos parejas.
2) Ubicamos parejas cuyos integrantes ocuparán lugares señalados (observa que tenemos tres parejas y debemos elegir dos):
tenemos C(3,2) = 3! / (1! * 2!) = 3 posibilidades.
3) Ubicamos a los integrantes de cada pareja en sus lugares seleccionados (los llamamos M1 y H1, M2 y H2 a los integrantes);
(M1H1)(M2H2) - (M1H1)(H2M2) - (H1M1)(M2H2) - (H1M1)(H2M2)
por lo que tenemos 4 posibilidades para ubicar esposa y esposo en los lugares asignados a parejas
Luego, por el principio de multiplicación nos queda:
N = 6*3*4 = 72 posibilidades.
Espero haberte ayudado.
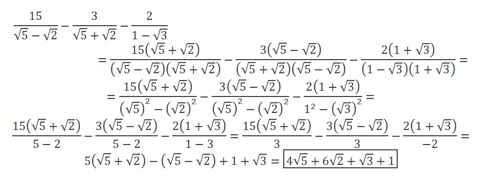
Buenas noches, alguien me ayuda con estos dos ejercicios por favor.
Hay que calcular y simplificar(Suponiendo que V es igual a raiz cuadrada)
15 3 2
-------------- - --------------------- - -------------------
V5-V2 V5+V2 1-V3
Otro:
V3-V2 V3+V2
----------- - -----------------
V3+V2 V3-V2