Hola amigos espero que me puedan ayudar, tengo examen de matrices he estado estudiando bastante y tengo una duda hacerla de este ejercicio que aparece en la imagen.
La pregunta es ¿para que valores de a y beta se satisfacen las siguientes igualdades?
a) (A +B) tendrían que estar los mismos números en los mismos lugares a=beta
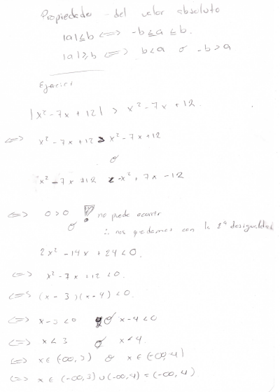
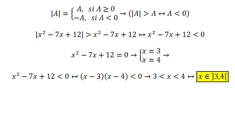
En el siguiente ejercicio he de encontrar los n° reales que verifican la siguiente condicion: (no sé como continuar)
se multiplica por 2 porque pasas restando al otro lado de la desigualdad , y te queda una suma de 2 cosas iguales
mira tienes que ver el caso donde
x2 - 7x +12 < -x2 + 7x - 12
entonces
sumando x2 - 7x +12 de ambos lados te queda
2(x2 - 7x +12) < 0
multiplicas por 1/2
x2 - 7x +12 <0 t¿y empiezas a resolver
Hoola! Tengo una duda con el siguiente ejercicio, mi profesor de álgebra nos pidió que estudiáramos el rango de la matriz haciendo ceros en las filas. Bien, yo he logrado triangular la matriz (no sé si está bien), pero mi duda era si se podía reducir, si se podía hacer ceros a la derecha de los pivotes de cada fila. Gracias!![]()

Para este tipo de ejercicio con elementos indeterminados expresados con la indeterminada t (theta), debes distinguir dos casos:
1) t = 0, sustituyes y queda una matriz con todos elementos numéricos que podrás reducir y escalonar fácilmente, y verás que su rango es 3;
2) t distinto de 0
Aquí es donde debes aplicar las operaciones elementales, y se arrastrarán expresiones con t a lo largo de la tarea:
|°) F3-->F3-F2 (obseva que los elementos de fila 3 quedan: < 0 , 0 , (t-1) >)
2°) F2-->3F2-tF1 (observa que los elementos de fila 2 quedan: < 0 , (9+t^2) , 3 >
Observa que el segundo elemento de fila 2 es distinto de cero por ser suma de términos positivos, por lo que planteamos:
3°) F1-->(9+t^2)F1+tF2 (si vas siguiendo todo con lápiz y papel, verás que queda trabajar solamente en la tercera columna)
Observa que los elementos de la tercera fila son: < 0 , 0 , t-1 >, por lo que distinguimos dos casos:
a) t = 1, que nos conduce a una tercera fila nula y el trabajo llegó a su fin porque ya tenemos que el rango es 2 como podrás ver fácilmente;
b) t distinto de 1, lo que nos permite continuar:
4°) F1-->(t-1)F1-3tF3 (observa que los elementos de la fila 1 quedan: < 3(9+t^2)(t-1) , 0 , 0 >
5°) F2-->(t-1)F2-3F3 (observa que los elementos de la fila 2 quedan: < 0 , (9+t^2)(t-1) , 0 >
Observa que a esta altura ya has obtenido una matriz diagonal, que en su diagonal principal tiene todos elementos distintos de cero, por lo que su rango es 3:
Espero haberte ayudado.
b) t distinto de 1, lo que nos permite continuar:
;