Hola, me podrían ayudar con el siguiente ejercicio:
¿qué valor del parámetro "a" estos vectores forman un sistema generador del espacio vectorial R3?
V1= (-2,3,2), V2=(a+2,0,3) V3=(5,3,a)
Me confunde el vector 2. Intento calcular el rango y ver si son Lineal mente independiente pero no consigo obtener el valor de a.
el resultado es:

Puedes plantear un determinante, cuyas filas son las componentes de cada vector, igualar a cero.
Cuando desarrolles el determinante te quedará un polinomio y, al estar igualado a cero, una ecuación con incógnita a.
Luego la resuelves, y los valores de a que son solución son los valores para los cuáles los vectores no son linealmente independientes. Por ello, concluirás que si a es distinto de a1 y de a2 (a1 y a2 son las soluciones de la ecuación), el conjunto de vectores es una base de R^3.
Haz el intento, y aquí estaremos para ayudarte si surge algún inconveniente.
Espero haberte ayudado.
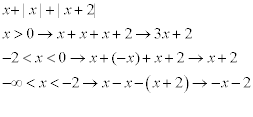
¡Buenas! Este año he empezado bachiller, y me he atascado con las operaciones relacionadas con el valor absoluto, he estado viendo los vídeos pero en la mayoría están igualados o con inecuaciones. Me podríais asegurar q he hecho bn el ejercicio, aunque no lo se terminar ya que no se si poner 0 o -2. Muchisimas gracias!![]()

Has planteado bien los valores absolutos como funciones a trozos, y sus puntos de corte:
|x| corta en 0, y |x+2| corta en -2,
luego, como las dos funciones valor absoluto tienen dominio R, observa que los puntos de corte nos determinan tres intervalos:
a) (-inf,-2), para él: |x| = -x y |x+2| = -(x+2), y la expresión queda: x -x - (x+2) = - (x+2) = - x - 2
-2, para este punto: |-2| = 2 y |-2+2| = 0, y la expresión queda: -2 + 2 + 0 = 0
b) (-2,0), para él: |x| = -x y |x+2| = x + 2, y la expresión queda: x - x + x + 2 = x + 2
0, para este punto: |0| = 0 y |0+2| = 2, y la expresión queda: 0 + 0 + 2 = 2
c) (0,+inf), para él: |x| = x y |x+2| = x + 2, y la expresión queda: x + x + x + 2 = 3x + 2.
Esta es una manera de evaluar intervalos de validez de una expresión con sumas o restas de valores absolutos: determinar los puntos de corte para cada trozo, luego establecer los intervalos y luego evaluar la expresión según los trozos válidos para cada intervalo, y también hay que evaluar la expresión en los puntos de corte.
Espero haberte ayudado.
Hola. Empiezo 1º bach. Estuvimos repasando el error absoluto y relativo. Pero tengo un problema cuando me piden que ajuste ese error a una determinada cifra. P.ej. -- como garantizar que:
a. el error absoluto sea menor que 10 elevado a menos 6
b. el error relativo sea inferior a 10 elevado a menos 4
También necesito entender esto que puso en el encerado

Ayudaaa por favor graciaaas

Si Ea= 1235,2718 - Valortomado <10^(-6), simplemente despeja... 1235,2718-10^(-6) <Valor tomado
Cualquier valor que tomes que cunmpla esa inecuacion te garantiza un error absoluto inferior a 10^(-6)...
Y para el Error relativo, lo mismo... Debe cumplirse que (1235,2718 - Valortomado) / 1235,2718 <10^-(4)... Resuelve la inecuación...
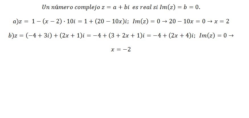
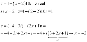
Hola amigos estoy empezando estudiar números complejos y no entiendo este ejercicio me podrían ayudar.![]()

1) z = 1- (x-2)*10i
distribuimos en el segundo término de la derecha:
z = 1 - x*10i + 20i
agrupamos términos imaginarios y queda:
z = 1 + ( -10x + 20)i
Observa que para que z sea real, debe cumplirse:
-10x + 20 = 0, despejamos y queda: x = 2.
2) z = (- 4 + 3i) + (2x + 1)i
distribuimos agrupamientos y queda:
z = - 4 + 3i + 2xi + i
reducimos términos sejantes:
z = - 4 + 2xi + 4i
agrupamos términos imaginarios:
z = - 4 + (2x + 4)i
observa que para que z sea real debe cumplirse: 2x + 4 = 0, despejamos y queda: x = - 2.
Espero haberte ayudado.
En el método de Gauss para conseguir la inversa de una matriz, el orden en el que se opera con las filas es siempre el mismo o podemos sumar/restar... según nos interese sin seguir un orden especifico?