Hola, estoy haciendo problemas en interés simple e interés compueto y tengo problemillas en uno:
"1. Halla el tipo de interés al que debe invertirse un capital para que duplique al cabo de 10 años si la operación es a interés simple."
Yo lo primero que he hecho ha sido ponerme la fórmula: Cf = C (1+it) y he intentado despejar y me ha quedado así --> 2C = C (1+i×10) aunque lo más seguro que no esté bien. ¿Me podrían ayudar, por favor?

La formula empleada es incorrecta.... Para interes simple... I=C.R.T / 100... En nuestro caso, como se duplica el capital, el interés será igual al capital inicial...
Y te quedará... Co=Co.R.10 / 100... R=10%... Te sugiero... Interes Simple y Compuesto
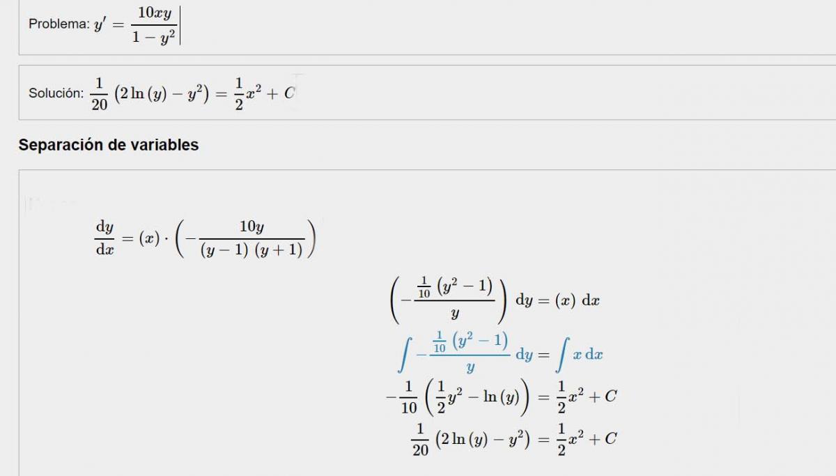
Hola... 10xy ý = 1-y^2 esta ecuación es del tipo ecuaciones diferenciales separables la respuesta del libro es 1- y^2 = c x ^ -1/5, espero que alguien sepa como llegar a ese resultado T-T ya tengo rato intentando.
Hola unicoos queria saber si me salio bien este ejercicio:
Hallar la ecuación de la recta tangente y la recta normal a la curva 3y2-x2=2x2.y en el punto (1;1)

Para hallar la pendiente de la recta tangente, debes derivar, y en este caso implícitamente en todos los términos, con respecto a x (observa que a la derecha tenemos un producto):
6y*y ' - 2x = 4x*y + 2x^2 * y '
Luego evalúas para el punto: observa que x = 1 e y= 1, reemplazamos, resolvemos en cada término y queda:
6y ' - 2 = 4 + 2y ', hacemos pasajes de términos, reducimos términos semejantes y queda:
4y ' = 6, despejamos y, resolvemos a la derecha y llegamos a:
y ' = 3/2, que es el valor de la derivada de la función para el punto de coordenadas (1,1), y por lo tanto es también el valor de la pendiente de la recta tangente en dicho punto.
Luego, planteamos la ecuación cartesiana de la recta que pasa por el punto (1,1) y tiene pendiente 3/2:
y - 1 = (3/2)*(x - 1), luego distribuimos a la derecha, hacemos pasaje de término y reducimos términos semejantes a la derecha y queda:
y = (3/2)*x - 1/2, que es la ecuación cartesiana explícita de la recta que pide el ejercicio.
Espero haberte ayudado.
Buenas tardes. Tengo un problema de matemáticas pero no se si está bueno es sobre composición de funciones:
(g ó f) (x) siendo f(x)= 27x^4 - 36x^2 + x +9 ; g(x) = 3x^2 + x +2
3(27x^4 - 36x^2 + x +9)^2 +27x^4 - 36x^2 +x + 9+ 2
3 (729 x^8 -1296x^4 +x^2 + 81) + 27x^4 - 36x^2 + x + 9 + 2
2187X^8 -3888x^4 + 3X^2 =243 +27x^4 - 36x^2 + x +9 + 2
2187X^8- 3861x^4 - 33x^2 + x +254
Ese es el resultado que me dió; si está mal quien me pueda ayudar le agradeceré; y si está buena pues me sentiría bien jejejjeje :)

Observa que debes revisar el desarrollo del cuatrinomio elevado al cuadrado: te damos su expresión general para que puedas hacer el desarrollo:
(a + b + c + d)^2 = a^2 + b^2 + c^2 + d^2 + 2ab + 2ac + 2ad + 2bc + 2bd + 2cd.
Observa que la fórmula puede deducirse al realizar el producto: (a + b + c + d)*(a + b + c + d) mediante la aplicación de la propiedad distributiva.
Espero haberte ayudado.

(a + b + c + d)^2 = (a + b + c + d)*(a + b + c + d) = distribuimos manteniendo el segundo grupo:
= a((a + b + c + d) + b(a + b + c + d) + c(a + b + c + d) + d(a + b + c + d) =
distribuimos en cada término (observa que nos quedarán dieciseis términos:
= a^2 + ab + ac + ad + ba + b^2 + bc + bd + ca + cb + c^2 + cd + da + db + dc + d^2 =
reducimos los pares de términos semejantes (ab y ba, ac y ca, ad y da, bc y cb, bd y db, cd y dc) y ordenamos términos:
= a^2 + b^2 + c^2 + d^2 + 2ab + 2ac + 2ad + 2bc + 2bd + 2cd.
En tu ejercicio, el cuatrinomio elevado al cuadrado es:
(27x^4 - 36x^2 + x +9)^2
y puedes aplicar la fórmula que hemos demostrado con las siguientes sustituciones:
a = 27x^4, b = -36x^2, c = x, d = 9,
y obtendrás el desarrollo que te mostró el colega Nelson.
Muchas veces es conveniente hacer desarrollos generales primero y sustituir después, como hicimos nosotros.
Espero haberte ayudado.
Buenas noches. Si algún buen samaritano me corrige este ejercicio se lo agradezco mucho
Determina si es derivable en x=1 tal que f(X) =
x si x menor o igual que 1
-x^2 si x > 1
Respuesta: Primero busco la continuidad: f(1) = 1
Límite de 1 por la izquierda = 1
Limite de 1 por la derecha = -1
No existe el límite. Discontinuidad inevitable
Voy a la derivación:
f'(1) por la derecha = -2
f'(1) por la izquierda = 1
La derivada no coincide.
Preguntas:

Recuerda dos teoremas (xo pertenece al dominio de la función)::
T1: Si f es derivable en xo, entonces f es contnua en xo.
y el teorema contra recíproco del anterior:
T2: Si f no es continua en xo, entonces f no es derivable en xo.
Observa que has demostrado que la función no es continua en x = 1 (has dicho bien que es discontinua inevitable tipo salto) por lo que puedes apelar al segundo teorema y concluyes que la función no es derivable en x = 1.
Siempre es conveniente analizar la continuidad en el punto de corte entre trozos, como en este caso. Se pueden presentar dos casos:
a) Si f no es continua, aplicas el segundo teorema y concluyes que f no es derivable (como en tu ejercicio).
b) Si f si es continua, debes calcular las derivadas laterales, y concluir allí si existe o no la derivada. Para esta tarea, se requiere aplicar la definición de derivada de una función en un punto de su dominio, por medio del cálculos de los límites laterales del cociente incremental. El motivo es que existen funciones en que la derivación por fórmula no indica existencia, pero la derivación por medio de la definición permite demostrar que si existe la derivada, porque las derivadas laterales coinciden.
Te doy un ejemplo: f(x) =
x^2 * sen(1/x), si x es distinto de 0
0 si x = 0
Si planteas las derivadas laterales con reglas de derivación, verás que no existen para x = 0.
Pero si planteas el cociente incremental queda:
( f(0+h) - f(0) )/h = f(h)/h = h^2 * sen(1/h) / h = simplificamos = h * sen(1/h) (*).
Luego, para calcular el límite cuando h tiende a cero del cociente incremental aplicamos la sustitución (cambio de variable):
w = 1/h, y observa que w tiende a infinito cuando h tiende a 0, y el límite del cociente incremental (*) queda:
Lím(w-->inf) (1/w)*senw = Lím(w-->inf) senw / w = 0, porque el numerador está acotado enre -1 y 1 y el denominador tiende a infinito.
Por lo tanto, tenemos que f es derivable en x = 0, y el valor que toma la función derivada para él es: f ' (0) = 0, que no pudimos visualizar derivando mediante reglas.
Espero haberte ayudado.
hola soy nueva y necesito ayuda urgente no entiendo como sacar los valores de las funciones trigonométricas para ángulos notables me queda grande sacar el de 90
No sé a que te refieres con 'ángulos notables' Voy a ver si puedo ayudarte. Verás, las funciones trigonométricas, senx, cosx, tgx, etc. Las podemos dibujar en función de los ángulos ¿Y cómo se miden los ángulos? Pues bien en GRADOS o bien en RADIANES.
360º = 2 pi radianes
180º= pi radianes
90º= pi radianes / 2
270º= 3pi radianes/2
Pongo esas medidas porque creo que es a lo que te refieres con ángulos notables ya que son las cuatro posiciones que tomamoos de la circunferencia de manera principal.

Dibuja una circunferencia con centro en el punto C(0,0) y radio R = 1 en un sistema de ejes cartesianos (esta es la circunferencia trigonométrica).
Luego, observa que un ángulo recto (a = 90°) tiene vértice en el punto C(0,0), lo comienzas a recorrer en el semieje 0X positivo y lo terminas de recorrer en el semieje OY positivo, por lo que el lado terminal del ángulo recto es el segmento con inicio en el punto C(0,0) y extremo en el punto B(0,1).
Observa que con representaciones de ángulos en la circunferencia trigonométrica (como hacemos en este caso), el radio (hipotenusa) tiene longitud 1, y las coordenadas del punto final del lado terminal (x,y) permiten plantear los valores de las funciones trigonométricas. Observa que para nuestro caso tenemos: x = 0, e y = 1, e hipotenusa cuya longitud es 1, por lo tanto:
cos(90°) = x/R = 0/1 = 0, y para su función recíproca: sec90°) = R/x es indeterminada
sen(90°) = y/R = 1/1 = 1. y para su función recíproca: cosec(90°) = R/y = 1/1 = 1.
tan(90|) = y/x es indeterminada, y para su función recíproca: cotg(90°) = x/y = 0/1 = 0.
Debes hacer la representación gráfica.
Espero haberte ayudado.