Como se representa la raiz cuadrada de 5 en una recta? Muchas graciasssss

Para una construcción gráfica, puedes pensar en un sistema de ejes coordenados OX y OY, y señala en él los puntos de coordenadas O(0,0), A(2,0) y B(2,1). Observa que entre los tres determinan un triángulo rectángulo cuya base es el segmento OA, su altura es el segmento AB, y su hipotenusa es el segmento OA.
Luego, aplicas el Teorema de Pitágoras: |AB| = V( |OA|^2 + |AB|^2 ) = V( 2^2 + 1^2 ) = V(5).
Observa que solo queda tomar un compás, con centro de giro en el origen, y trazar un arco de circunferencia desde el punto B hasta el eje OX. Tal como indica el colega Nelson, verás que corresponderá a un punto de abscisa. x = 2,24 aproximadamente.
Espero haberte ayudado.
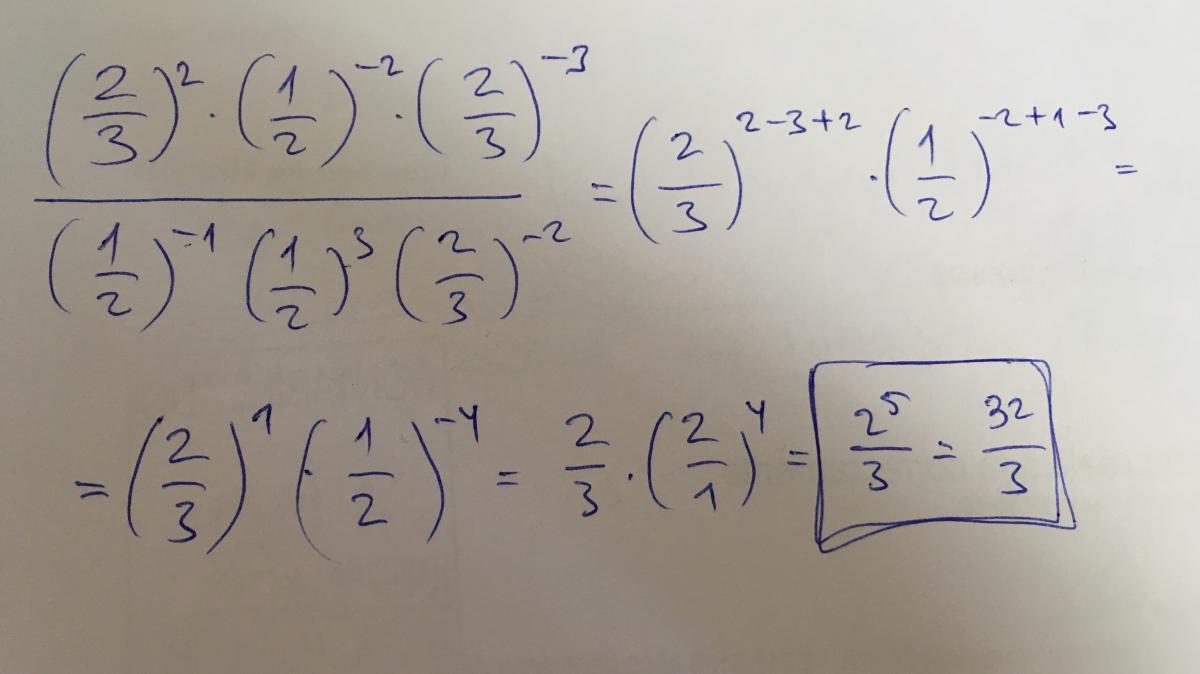
Tengo problemas en la interpretacion con estos ejercicios de ecuaciones logaritmicas. Ayudenme!! Por favor. En el primer ejercicio la R: -2loga-12 y en el segundo R: la opcion d). Muchas gracias!! Unicoos. ![]()
![]()

Puedes aplicar la propiedad del logaritmo de un producto a la izquierda, y queda:
log(p*q) = log(p+q), luego compones con la función inversa del logaritmo y queda:
p*q = p + q, hacemos pasaje de término y queda:
p*q - p = q, extraemos factor común a la izquierda y queda:
p*(q - 1) = q, haces pasaje de factor como divisor y queda:
p = q/(q - 1).
Observa que q debe ser distinto de uno, y que a partir del enunciado p y q deben ser estrictamente mayores que cero.
Espero haberte ayudado.
No entiendo esta: f(X)= 1- ln (x-| x | )

Observa que debe cumplirse que el argumento del logaritmo debe ser estrictamente positivo:
x - |x| > 0
Luego, a partir de la definición de valor absoluto tenemos dos opciones, en la que cada una de ellas nos conducirá a un subintervalo:
1) x > 0 (observa que x debe ser distinto de cero) y la desigualdad queda: x - x > 0, que al cancelar términos opuestos a la izquierda queda: 0 > 0, que es una desigualdad absurda, por lo tanto esta opción nos conduce al subintervalo vacío:
2) x < 0 y la desigualdad queda: x - (-x) > 0, que al resolver a la izquierda queda: 2x > 0, luego dividimos por 2 (que es un divisor positivo) en ambos miembros y queda: x > 0, por lo tanto esta opción nos conduce al subintervalo vacío, ya que las condiciones de esta opción x < 0 y x > 0 son incompatibles.
Por lo tanto, no puede existir la función con esta expresión, ya que su dominio es el conjunto vacío
Por favor, revisa en tus apuntes y guías para verificar que el enunciado esté bien copiado, o si se trata de un error de impresión en tu guía de ejercicios.
Espero haberte ayudado.
f(x)= √(1/lnx) dom f(X) = ¿? No entiendo lo del dominio igualo el denominador a 0 1 / ln x = 0
Hola Enrique. Tienes que estudiar los valores para los que el denominador es cero, y para los cuales, la fracción es negativo, puesto que una raíz de un valor negativo, no existe.
Echa un vistazo a estos videos.
Dominio, rango, acotacion y extremos

Tal como te indica el colega Gabriel:
el argumento de la raíz cuadrada debe ser positivo y, como se trata de una fracción con numerador positivo, la única opción que queda es que el denominador sea estrictamente mayor que cero (observa que no puede ser igual a cero), por lo tanto tenemos:
lnx > 0, luego componemos con la función inversa del logaritmo natural y queda (observa que la función logarítmica siempre es creciente):
x > e^0, resolvemos y queda:
x > 1, por lo que concluimos que el dominio de la función es el intervalo: D = (1,+inf).
Espero haberte ayudado.
Hola a todos los unicoos, tengo un problema de aplicaciones de la derivada en problemas económicos, el ejercicio me da un Costo Total (q)= 1000 + 6q -0.03q^2 + 10^‾6.q³, y un Precio(q)= 12 - 0.0015q
y me pide calcular el beneficio total, las cantidades que maximizan las utilidades y el precio de venta, si me pueden ayudar, el termino 10^-6.q³ en el costo total es el que me trae problemas.
Me pueden ayudar a encontrar las z∈C tales que 2i*z(conjugada)=módulo de z+2i

Tenemos al número complejo genérico: z = x+yi, cuyo módulo queda expresado: |z| = V(x^2 + y^2). Luego reemplazamos (según tu enunciado, entendemos que a la derecha de la igualdad tenemos dos términos):
2i*(x - yi) = V(x^2 + y^2) + 2i
distribuimos, resolvemos, ordenamos términos a la izquieda y queda:
2y + 2i*x = V(x^2 + y^2) + 2i
luego, por igualdad entre números complejos tenemos el sistema de ecuaciones:
2y = V(x^2 + y^2) (observa que y debe ser positivo)(*)
2x = 2, de donde tenemos: x = 1 (**), reemplazamos en la ecuación de arriba y queda:
2y = V(1 + y^2), hacemos pasaje de raíz como potencia y queda:
4y^2 = 1 + y^2, hacemos pasaje de término, resolvemos a la izquierda y queda:
3y^2 = 1, hacemos pasaje de factor como divisor y queda:
y^2 = 1/3, lo que nos lleva a dos soluciones:
y1 = -1/V(3) que descartamos por no cumplirse la observación señalada (*)
y2 = 1/V(3) que aceptamos porque si cumple con la observación señalada (*).
Por lo tanto, la ecuación tiene solución única: x = 1 + (1/V(3))i.
Espero haberte ayudado.

Observa que para derivar debes aplicar la regla de la cadena, lo haces y queda:
f ' (x) = - ( 1/cos(3x) ) *( - sen(3x) )*3 = 3tan(3x)
observa también que cos(3x) y tan(3x) están definidas en todo el intervalo.
Por lo tanto:
a) es Falso
b) es Verdadero
c) es Falso, ya que f ' (0) = 3*tan(0) = 0.
Espero haberte ayudado.