Hola me podrian ayudar con la definición de la función derivada y con
la interpretación de la derivada en un punto desde el punto de vista matemático y desde el punto de vista geométrico. Es decir qué significa: f´(2) = 5; f´(8)= -4 ?

Debbie...
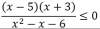
Primero saca las raíces del numerador y luego las del denominador. Después, representas esos valores en una recta como la de la foto.
Las raíces del denominador no tienen sentido, pero si la tienen las del numerador.
El intervalo que verifica tu ecuación es [-3 ; -2) U (3 ; 5]. el -3 y el 5 se incluyen porque tu inecuación dice menor igual a 0, y si reemplazas -3 y 5 en la ecuación da como resultado 0. Eso también sucede para -2 y 3 peor no se tienen en cuenta porque son raíces del denominador.
Por último, buscas valores entre las raíces y reemplazas en la fórmula. Se tiene que cumplir que sea menor igual, osea, resultado negativo e igual a 0.
Si tenés dudas, pregunta.
Acá hay un video de ejercicios de inecuaciones con rectas: https://www.youtube.com/watch?v=6cVczQWNtqk
Ahí va la foto...

Puedes comenzar por factorizar el denominador por medio de la fórmula resolvente para ecuaciones polinómicas cuadráticas, y verás que puede ser escrito: (x+2)(x-3), luego la desigualdad queda:
(x-5)(x+3) / (x+2)(x-3) <= 0.
Luego, observa que tenemos dos opciones en primera instancia:
1) (x+2)(x-3) > 0, luego pasamos multiplicando en la desigualdad (observa que el denominador es positivo) y queda: (x-5)(x+3) <= 0.
2) (x+2)(x-3) < 0, luego pasamos multiplicando en la desigualdad (observa que el denominador es negativo) y queda: (x-5)(x+3) >= 0.
Luego vamos a cada una de las opciones (observa que a su vez tenemos dos nuevas opciones en cada caso:
1a) x+2>0, x-3>0 y (x-5)(x+3) <= 0.
1b) x+2<0, x-3<0 y (x-5)(x+3) <= 0.
2a) x+2>0, x-3<0 y (x-5)(x+3) >= 0.
2b) x+2<0, x-3>0 y (x-5)(x+3) >= 0.
Luego, observa que en cada una de estas cuatro opciones se tienen otras dos (observa que en cada opción los elementos x cumplen cuatro condiciones), por lo tanto tenemos:
1a1) x+2>0, x-3>0, x-5>=0 y x+3<=0, a lo que corresponde: x>-2, x>3, x>=5 y x<=-3, lo que nos lleva al intervalo vacío.
1a2)x+2>0, x-3>0 y x-5<=0 y x+3>=0, a lo que corresponde: x>-2, x>3, x<=5 y x>=-3, lo que nos lleva al intervalo (3,5].
1b1) x+2<0, x-3<0 y x-5>=0 y x+3<=0, a lo que corresponde: x<-2, x<3, x>=5 y x<=-3, lo que nos lleva al intervalo vacío.
1b2) x+2<0, x-3<0 y x-5<=0 y x+3>=0, a lo que corresponde: x<-2, x<3, x<=5 y x>=-3, lo que nos lleva al intervalo [-3,-2).
2a1) x+2>0, x-3<0 y x-5>=0 y x+3>=0, a lo que corresponde: x>-2, x<3, x>=5 y x>=-3, lo que nos lleva al intervalo vacío.
2a2) x+2>0, x-3<0 y x-5<=0 y x+3<=0, a lo que corresponde: x>-2, x<3, x<=5 y x<=-3, lo que nos lleva al intervalo vacío.
2b1) x+2<0, x-3>0 y x-5>=0 y x+3>=0, a lo que corresponde: x<-2, x>3, x>=5 y x>=-3, lo que nos lleva al intervalo vacío.
2b2) x+2<0, x-3>0 y x-5<=0 y x+3<=0, a lo que corresponde: x<-2, x>3, x<=5 y x<=-3, lo que nos lleva al intervalo vacío.
Por lo tanto, el conjunto solución, con notación de intervalo queda:
[-3,-2) u (3,5].
Espero haberte ayudado.
Buenas, necesito la demostración del teorema de Cauchy:
Sea f y g funciones continuas en [a, b] y derivables en (a, b), entonces existe un punto "C" perteneciente a (a,b) tal que: (f(b) - f(a)) / (g(b) -g(a)) = f ' (c) / g ' (c)
Con g(b) =/ g(a) y g '(c) =/ 0

Puedes hacer el mismo planteo del Teorema del Valor Medio para la función g, tal como lo hemos hecho para la función f, y quedan:
f ' (c) = ( ( f(b) - f(a) ) / (b - a) )
g ' (c) = ( ( g(b) - g(a) ) / (b - a) )
Luego, como sabemos que g ' (c) es distinto de 0, podemos hacer el cociente miembro a miembro, simplificamos en el segundo miembro y queda:
f ' (c) / g ' (c) = ( ( f(b) - f(a) ) / (b - a) ) / ( ( g(b) - g(a) ) / (b - a) ).
Este es el Teorema de Cauchy, y lo hemos demostrado apelando al Teorema de Lagrange, que es un teorema anterior.
Espero haberte ayudado.

Observa bien, Alejandro. En el ejercicio anterior teníamos OTRA función a la que llamamos, por desgracia, g.
Ésta tenía la siguiente expresión:
g(x) = f(x) - ( (f(b) - f(a)) / (b-a) )(x - a)
que es la que usamos para demostrar el Teorema de Lagrange.
En este ejercicio, en el que debemos demostrar el Teorema de Cauchy, trabajamos con dos funciones:
f y g, que cumplen con las hipótesis del Teorema de Lagrange, por lo que para ambas planteamos:
f ' (c) = ( ( f(b) - f(a) ) / (b - a) )
g ' (c) = ( ( g(b) - g(a) ) / (b - a) ).
La confusión viene de allí, si prefieres, a la función que construimos para demostrar el Teorema de Lagrange anteriormente le podemos dar otro nombre, por ejemplo h(x).
Espero haber aclarado tu duda.
Hola.
Tengo un problema de probabilidad, que me confunde, ya que no se si utilizar probabilidad condicional o independencia de eventos.
Los jugadores A y B juegan una secuencia de juegos independientes. Un jugador lanza un dado primero y gana con un "seis". Si falla, B lanza y gana con un "cinco" o seis ". Si no lo logra, A lanza y gana con cuatro, cinco o seis. Y así sucesivamente. Encontrar la probabilidad de cada jugador que gane la secuencia.
Hola. Como sería la demostración de este teorema:
Sea la función f(x) : [a, b] --> IR , continua en todo el intervalo cerrado [a, b] y derivable en el intervalo abierto (a, b). Entonces existe un "C" en el intervalo [a, b], tal que f ' (C) = ( f(b) - f(a) ) / (b-a)

Construimos la función cuya expresión es:
g(x) = f(x) - ( ( f(b) - f(a) ) / (b - a) )(x - a)
Observa que la función g es continua y derivable, por ser resta entre funciones continuas y derivables.
Observa que g(a) = f(a) y que g(b) = f(a).
Por lo tanto se cumplen las hipótesis del Teorema de Rolle y podemos asegurar que existe c perteneciente al intervalo (a,b) tal que g ' (c) = 0 (*).
Derivamos la función g y su expresión queda:
g ' (x) = f ' (x) - ( ( f(b) - f(a) ) / (b - a) ).
Evaluamos para el valor c, aplicamos la igualdad señalada (*) y tenemos que:
f ' (c) - ( ( f(b) - f(a) ) / (b - a) ) = 0, hacemos pasaje de término y llegamos finalmente a:
f ' (c) = ( ( f(b) - f(a) ) / (b - a) ).
Este es el Teorema del Valor Medio de Lagrange, y lo hemos demostrado apelando al Teorema de Rolle, que es un teorema anterior que has visto en clase.
Espero haberte ayudado.
David Muchas Gracias por todo, te tengo que agradecer todo lo que haces por tu unicoos, gracias por ayudarme a aprobar fisica y quimica y matematicas, gracias a ti he podido pasar a 2º de Bachiller. No sabia por donde comunicártelo y solo se me ocurre por aquí. MUCHÍSIMAS GRACIAS DAVID. gracias también a todos los que te ayudaron a ayudar :3

Llamemos x a la longitud de la base de uno de los rectángulos, y llamemos y a la longitud de la altura de uno de los rectángulos.
Por lo tanto, el área total queda expresada: At = 6xy.
Luego, observa a partir de la figura que con los 30 metros de alambre se deben cubrir 12 bases de rectángulos (las seis inferiores y las seis superiores) y 7 alturas de rectángulos, por lo tanto planteamos:
6x + 7y = 30, de aquí despejamos una de ellas, por ejemplo: y = 30/7 - (6/7)x,
luego sustituimos en la expresión del área total, y queda:
At(x) = 6x( 30/7 - (6/7)x ).
Para establecer el dominio de la función, debemos tener en cuenta que el área es una magnitud positiva y, como su expresión es un producto de dos factores, éstos deben ser ambos positivos y, además, recordemos que x es una longitud, por lo que debe ser estrictamente positiva. Por lo tanto planteamos:
6x > 0, dividimos en ambos miembros por 6 y queda: x > 0;
30/7 - (6/7)x > 0, hacemos pasaje de término y queda:
- (6/7)x > -30/7, hacemos pasaje de factor negativo (recordemos que se invierte el sentido de la desigualdad, resolvemos y queda:
x < 5.
Por lo tanto, el dominio de la función área total es (en notación de intervalo): D = (0,5).
Espero haberte ayudado.
Hola! me dan estos enunciados y tengo que sacar la ecuacion y la verdad es que he intentado pero no consigo sacarlas sobre todo la ultima no se por donde cojerla a) pasa por el punto P(1, -5) y Q(10, 11)
b) pasa por el punto (-7,2) y su pendiente es -0,75
c) es paralela a 3x-y+1=0 y pasa por el punto (-2,-3)
d) pasa por el punto (1,0) y forma un ángulo de 120o con la horizontal
gracias!
Necesito ayuda con este problema por favor: Una entidad de crédito tiene unos depósitos valorados en millones de euros: Año 1990, depósito 25 / Año 1992, depósito 32 / Año 1994, depósito 45 / (Es una tabla)
Calcula mediante interpolación cuadrática los depósitos del año 1991 y 1993
Hola buenos días me gustaría saber si podían hacer está operación trigonometrica:
Me dan la ctgx=3/4 y tengo que averiguar senx y cosx ¿Qué resultado saldría?
Gracias

Observa que a partir de la sugerencia del Colega Lucas, puedes elevar al cuadrado y la identidad queda:
(cotgx)^2 = (cosx)^2 / (senx)^2
luego, a partir de la identidad fundamental (o pitagórica) tienes:
(cosx)^2 + (senx)^2 = 1.
Por lo que todo se reduce a resolver el sistema de ecuaciones (reemplazamos el valor de la cotangente de x, que es dato de tu enunciado, y resolvemos su cuadrado):
(cosx)^2 / (senx)^2 = 9/16
(cosx)^2 + (senx)^2 = 1.
Observa que se trata de un sistema de dos ecuaciones con dos incógnitas que, al ser despejadas, conducirán a dos soluciones, ya que hay un ángulo del primer cuadrante que tiene cotangente +3/4, cuyo seno y su coseno son positivos, y hay otro ángulo en el tercer cuadrante, que también tiene cotangente +3/4, pero su seno y su coseno son ambos negativos.
Espero haberte ayudado.