Foro de preguntas y respuestas de Matemáticas

logo beUnicoos
Los foros de unicoos se han unificado en nuestra nueva plataforma beUnicoos. Para dejar nuevas preguntas deberás hacerlo allí, donde además podrás encontrar nuevas asignaturas y herramientas para ayudarte más con tus estudios.

  • icon

    wolfmoon
    el 4/9/16

    Hola, mi pregunta es sobre un ejercicio de probabilidad.

    Si extraemos de una caja de cereales un cereal y nos fijamos en la forma que tiene (corazon, luna, carita, cruz), indica todos los sucesos elementales posibles. ¿En algun caso la probabilidad de la intersección de dos de esos sucesos elementales puede ser distinta de 0?


    Entiendo que los sucesos son a = {carita}, b = {luna}, c= {cruz}, d= {corazon}.


    Pero la pregunta no la entiendo, si extraemos de la caja un solo cereal no hay intersección de elementos no? Solo podemos sacar una figura, nada mas. Porque no dice nada de que saquemos un cereal, lo volvamos a meter o lo dejemos fuera y de nuevo saquemos una figura. No acabo de comprender esa pregunta.


    Gracias de antemano.




    replythumb_up0 voto/sflag
    icon

    Jordi García
    el 4/9/16

    Hola wolfmoon, he encontrado la solución a este problema: 

    http://matematicas.torrealmirante.net/PRUEBA%20DE%20ACCESO%20A%20CICLOS%20FORMATIVOS/examenes%20puestos/COMUNES_GS_Sept2015_soluciones.pdf

    Exactamente está en el final de la página 5, dónde encontrarás la solución de los dos apartados del ejercicio.


    Saludos.

    thumb_up0 voto/sflag
  • icon

    Claudia
    el 4/9/16

    ¡Hola! Mi duda es sobre el sistema de igualación, si el resultado de x me da una fracción que me da decimales al hacerla y no se puede reducir (-49/11) ¿Cómo averiguo el resultado de y si y es también una fracción?

    replythumb_up0 voto/sflag
    icon

    Gabriel
    el 4/9/16

    Entiendo que sea un sistema de dos ecuaciones con dos incognitas. En ese caso, en cualquiera de las dos ecuaciones iniciales, sustituyes "x" y despejas "y".


    thumb_up1 voto/sflag
    icon

    Fran
    el 4/9/16

    En lugar de obtener un numero simple si obtienes una fracción, lo haces normal sustituyendo en la ecuacion que quieras y trabajando con las fracciones obtendras el resultado de y.

    thumb_up0 voto/sflag
  • icon

    David Picazo Caravaca
    el 4/9/16

    Hola, no se por donde coger esto... Según un estudio, el porcentaje de adultos de la Unión Europea (UE) que hablan
    una lengua extranjera es del 64%. En una muestra aleatoria tomada en España de 250 adultos se
    ha obtenido que 128 hablan una lengua extranjera. A partir de estos datos, plantear un contraste
    de hipótesis para determinar si se puede aceptar que el porcentaje de adultos que hablan una
    lengua extranjera en España es igual al de la UE frente a la alternativa de que es menor, como
    parecen indicar los datos. ¿A qué conclusión se llega con un nivel de significación de 0,01?


    replythumb_up0 voto/sflag
    icon

    Jordi García
    el 4/9/16

    Hola David Picazo Caravaca, no sé si lo sabes pero este ejercicio es de selectividad.

    Te adjunto la solución.

    Saludos.



    thumb_up2 voto/sflag
    icon

    Antonius Benedictus
    el 4/9/16

    Te lo explicamos con otro método:

    thumb_up1 voto/sflag
  • icon

    Miguel Angel Segovia Polo
    el 4/9/16

    En el video "matriz enesima" un compañero ha puesto un ejercicio que es:

    Si A es:

    001

    010

    100

    Calcula A15 y A20

    He hecho lo mismo que en el video calculando An y obtengo que:

    Si n es par la matriz es

    100

    010

    001

    Si n no es par la matriz es:

    001

    010

    100

    Mi pregunta es, aunque he resuelto el ejercicio, ¿como escribo An?

    ya que no se como expresar las 4 esquinas matematicamente en una unica matriz

    ?   0   ?

    0  1   0

    ?   0  ?

    replythumb_up0 voto/sflag
    icon

    César
    el 4/9/16

    Pues mas o menos así 

    thumb_up0 voto/sflag
    icon

    Antonius Benedictus
    el 4/9/16

    Creo que así, Miguel Ángel:

    thumb_up0 voto/sflag
  • icon

    Luis
    el 4/9/16

    hola me dan un mano no se me ocurre como empezar a resolverlo.

    gracias

     


    replythumb_up0 voto/sflag
    icon

    Antonius Benedictus
    el 4/9/16

    ¿Es ése el enunciado original, Luis? No entiendo lo de 2u1

    thumb_up0 voto/sflag
    icon

    Luis
    el 6/9/16

    Si es el enunciado original . 

    Yo también no entiendo esa parte gracias e

    thumb_up0 voto/sflag
  • icon

    Paula
    el 4/9/16

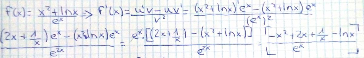
    Hola, ¿me pordrían ayudar a sacar la derivada de esta función a través de la función de la derivada?

    f(x)=(x²+lnx)/(e^x)

    Gracias.

    replythumb_up0 voto/sflag
    icon

    Mk3
    el 4/9/16

    Hola Paula. 

    Aquí lo tienes, si alguien confirma que está bien, mejor.



    thumb_up0 voto/sflag
    icon

    Fran
    el 4/9/16

    Si, está bien hecha el resultado es (2x + x-1 -x2 - ln x)/ (ex ) 

    thumb_up1 voto/sflag
  • icon

    Daniel Padilla
    el 4/9/16

    Hola me podrian ayudar con este ar de ejercicios la verdad es que son las 3 de la mañana en México y ya estoy harto de no poder, porfa ayuda

    replythumb_up0 voto/sflag
    icon

    Antonius Benedictus
    el 4/9/16

    Te mandamos uno, Daniel. Intenta tú el  otro y nos cuentas.

    thumb_up2 voto/sflag
    icon

    Desencadenado
    el 4/9/16


    thumb_up1 voto/sflag
  • icon

    gilberto
    el 4/9/16

    Hola, es una desigualdad con valor absoluto, pero no sé cuál es la forma correcta de resolverla, podrían ayudarme por favor.

    replythumb_up0 voto/sflag
    icon

    Desencadenado
    el 4/9/16

    el resultado sería el siguiente Gilberto, si quieres te envio el procedimiento


    thumb_up1 voto/sflag
    icon

    César
    el 4/9/16

    Ambas dos son equivalentes , teniendo en cuenta que el 0 esta fuera del intervalo (-4/9, 4/7)-{0}

    thumb_up1 voto/sflag
    icon

    gilberto
    el 4/9/16

    sip seria bueno que me mandaras el procedimiento para entender mejor

    thumb_up0 voto/sflag
    icon

    Desencadenado
    el 5/9/16

    Espero te sea útil y sigue intentandolo ;-)

    thumb_up0 voto/sflag
  • icon

    Antoniio
    el 4/9/16
    flagflag

    Hola, cómo sería el árbol sintáctico de la fórmula:

    ((¬p v q ) v (q v r))


    Saludos !!

    replythumb_up0 voto/sflag
    icon

    David
    el 5/9/16

    Me encantaría ayudarte, pero no respondo dudas universitarias que no tengan que ver específicamente con los videos que ya he grabado como excepcion. Lo siento de corazón… Espero lo entiendas

     

    thumb_up0 voto/sflag
    icon

    Antoniio
    el 6/9/16

    Perdón, no sabía que no se encontraba este tema en los videos. De igual forma gracias, saludos!!.

    thumb_up0 voto/sflag
  • icon

    dayra
    el 4/9/16

    chicos unicoos, agradeceria mucho si pudieran ayudarme ,el problema dice:

     Sean A, B  matrices cuadradas de orden n, tales que A + B = AB. Demuestre que A − I es invertible y determine su  inversa

    (I, es las matriz identidad )

    gracias :)


    replythumb_up0 voto/sflag
    icon

    Antonius Benedictus
    el 4/9/16

    Te lo desarrollamos, Dayra:

    thumb_up1 voto/sflag