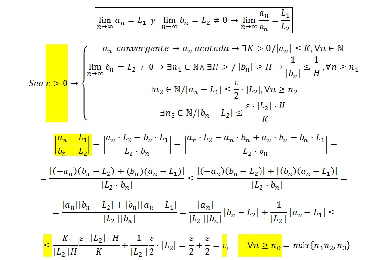
Buenas! Gracias por siempre ayudar! pero necesito saber si mi conclusión esta bien...
---
sea el conjunto S={0,1,1/2,1/3,...,1/n}... ¿es este cerrado sobre R(reales)?
Llegue a la conclusión de que es un conjunto cerrado porque cada punto en el que se sitúa este conjunto no es un punto interior, y al no ser interior no es abierto.. ya que en cada entorno, por mas chico que sea, existe algun punto que no pertenece al conjunto, por lo tanto, es un conjunto cerrado...
Que es la topologia euclidiana sobre R^2

Un conjunto cerrado ha de coincidir con su adherencia.
La topología euclideana es la topología usual de R^2:
Un entorno de un punto es el "disco" abierto centrado en él. Esto es, el conjunto de los puntos del plano que distan de él menos de una cantidad fija "r" (el radio del entorno).
Y un abierto es la unión arbitraria de entornos.
Buenas tardes,
Se me plantea el siguiente ejercicio: "Diseñar un tramo de 100 metrs de una montaña rusa que contenga tramos con formas gráficas: exponencial, recta, parabólica y sinusoidal". Debo plantear un bosquejo gráfico y también las expresiones analíticas. Yo diseñé un tramo en el siguiente orden: parábola, sinusoidal, exponencial y recta. Mi duda es la siguiente, la función total, o sea la suma de éstas funciones. debe ser continua, ya que los carros no deben despegarse de los rieles. ¿Cómo aseguro ésta condición?
Gracias!

Para asegurar que es continua, en los puntos de "transición" de tu funcion a trozos, la funcion por la izquierda y la funcion por la derecha deben tender al mismo numero...
Debes por tanto conseguir que las funciones tomen el mismo valor de "y" para esos valores de "x" que hayas elegido. si quieres puedes enviarnos una foto con todo lo conseguido y te orientamos para que puedas rematar el ejercicio.
Me gustaría saber como se resuelve una ecuación de cuatro incógnitas, cuando las incógnitas no salen en todas las ecuaciones.
Ejemplo:
×+y=3
z+u=4
z+y=5
x+u=2

Puedes comenzar por despejar x en la primera ecuación: x = 3 - y (*),
para luego sustituir en las otras tres, que permanecerán sin cambios si x no es una de sus incógnitas, lo haces y queda:
z + u = 4
z + y = 5
3 - y + u = 2, de la que despejamos u y queda: u = y - 1 (**),
para luego sustituir en las otras dos ecuaciones, que permanecerán sin cambios si u no es una de sus incógnitas, lo haces y queda:
z + y - 1 = 4, de la que despejamos y queda: z = - y + 5 (***),
z + y = 5,
para luego sustituir en la segunda ecuación y queda:
- y + 5 + y = 5,
luego cancelamos términos opuestos a la izquierda y queda:
5 = 5, que es una identidad verdadera, por lo que tenemos que el sistema es compatible indeterminado y admite infinitas soluciones, cuyas expresiones las obtenemos a partir de las ecuaciones señaladas (*) (**) (***):
x = 3 - y
y perteneciente al conjunto de los números reales
z = - y + 5
u = y - 1.
Espero haberte ayudado.

Por medio de matrices, aplicando el método de gauss, transformando las ecuaciones à una matriz aumentada, donde la primera columna son las "x", la segunda "y", la tercera "z" y la cuarta "u" la quinta son las b (la igualacion).
Si la ecuación no tiene una incógnita, entonces esta tiene un valor de 0.
Matriz Aumentada
1 1 0 0 : 3
0 0 1 1 : 4
0 1 1 0 : 5
1 0 0 1 : 2

Por medio de matrices, aplicando el método de gauss, transformando las ecuaciones à una matriz aumentada, donde la primera columna son las "x", la segunda "y", la tercera "z" y la cuarta "u" la quinta son las b (la igualacion).
Si la ecuación no tiene una incógnita, entonces esta tiene un valor de 0.
Matriz Aumentada
1 1 0 0 : 3
0 0 1 1 : 4
0 1 1 0 : 5
1 0 0 1 : 2
Holaa compañeros de unicoos, me podrian ayudar con este ejercicio de ecuaciones vectoriales :
A+3B-C= (1,1,1),
2A-B+4C=(0,1,-3) ,
A+2B-2C= (4,2,1) ,
(Las letras están expresadas como vectores)

Aplica el método de reduccion de GAUSS... Como en este vídeo..
/video2194Sistema de ecuaciones con 4 incognitas Reduccion GAUSShola unicoos tengo un problema xfa ayúdenme
En un instante dado los catetos de un triangulo miden 6 y 8 cm respectivamente , al partir de ese instante el primer cateto decrece a 0.25 cm/minutos y el segundo cateto crece a razón 0.1 cm/minutos ¿A que velocidad estará creciendo el área cuando a transcurrido 2 minutos?
/video2630Razon de Cambio 01 /video2630Razon de Cambio 01 /video2630Razon de Cambio 01 /video2630Razon de Cambio 01
Hola tengo una duda y es: en esta ecuacion con numeros complejos por que el argumento sale 270°? el argumento sale -8/0 que daria=menos infinito y no se porque el menos infinito da 270º (En l de z3+8i=0) gracias por la ayuda

Si recurres a un gráfico cartesiano, en que las partes reales se señalan en el eje de abscisas OX, y las partes imaginarias se señalan en el eje OY, verás que:
a los números reales positivos los señalamos en el semieje OX positivo, por lo que su argumento es 0°,
a los números reales negativos los señalamos en el semieje OX negativo, por lo que su argumento es 180°,
a los números imaginarios positivos los señalamos en el semieje OY positivo, por lo que su argumento es 90°,
a los números imaginarios negativos los señalamos en el semieje OY negativo, por lo que su argumento e 270°.
Ya has visto cuando has estudiado trigonometría en clase, que los valores de las funciones trigonométricas para estos cuatro ángulos son (recuerda la identidad trigonométrica: tanA = senA / cosA):
sen0° = 0, cos0° = 1, tan0° = 0/1 = 0
sen180° = 0, cos180° = -1, tan180° = 0/(-1) = 0
sen90° = 1, cos90° = 0, tan90° no está definida
sen270° = -1, cos270° = 0, tan270° no está definida.
Luego, en tu ejercicio, observa que el número complejo imaginario -8i se corresponde con un punto sobre el semieje OY negativo, de coordenadas (0,-8), cuya distancia al origen de coordenadas es 8, por lo tanto, su módulo es igual a 8, y su argumento 270°.
Y con respecto a la gráfica y valores de la función tangente, que puedes buscar en tus apuntes, en un libro o en los vídeos, verás que para ángulos del tercer cuadrante muy cercanos a 270° (por ejemplo 269,999°) la función toma valores positivos muy grandes en valor absoluto; y que para ángulos del cuarto cuadrante muy cercanos a 270° (por ejemplo 270,001°) la función toma valores negativos muy grandes en valor absoluto.
Espero haberte ayudado.

Partimos de la expresión de la función, e iremos operando en ella:
f(x) = (x+1) / (x-3) luego restamos y sumamos 3, y agrupamos convenientemente en el numerador:
f(x) = ( (x-3) + 4 ) / (x-3) luego distribuimos el denominador, simplificamos en el primer término y queda:
f(x) = 1 + 4/(x-3).
Luego, pasamos a estudiar las transformaciones sucesivas:
f(x) = 1/x es la función inicial con cuya gráfica partimos,
( T1 o f )(x) = 1/( x-3) (hemos aplicado a su gráfica una traslación módulo 3 hacia la derecha),
( T2 o ( T1 o f ) )(x) = 4/(x-3) (hemos aplicado a su gráfica una dilatación módulo 4),
( T3 o ( T2 o ( T1 o f ) )(x) = 1 + 4/(x-3) (hemos aplicado a su gráfica una traslación vertical hacia arriba módulo 1).
Puedes verificar con un programa graficador cómo se va transformando el gráfico de la función a medida que vamos aplicando las transformaciones.
Espero haberte ayudado.