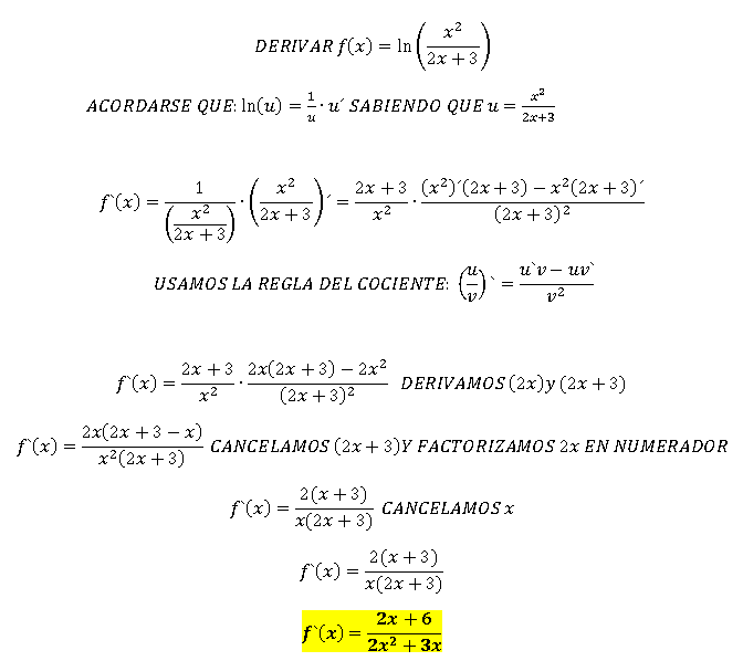
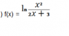
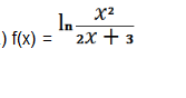
Hola, Juan. Recordemos que si tenemos una función derivable u y queremos derivar Ln(u), queda u'/u; por ejemplo, f(x) = ln(x), f'(x) = 1/x. Así, para derivar tu función habría que hacer u = (x^{2})/(2x+3). Observa que u es una función racional, del tipo P/Q, por lo que su derivada es (P'Q-Q'P)/Q^{2}. Espero que con estas pistas te salga. ;)
Hola, mi duda es este ejercicio:
Dar las ecuaciones de los planos tangentes a la superficie de ecuación z^2 = 4 − 3xy, en los
puntos 1, (1, 0),(0, 0, 0) y (1, 1, 1). Caso de que no sea posible explicar porqué.

Comencemos por expresar la ecuación de la superficie (S) en forma implícita:
3xy + z^2 - 4 = 0
observa que S es una superficie de nivel de la función: F(x,y,z) = 3xy + z^2 - 4, que es una función diferenciable en R^3, por lo que admite plano tangente en cualquiera de sus puntos, cuyo vector normal en cada caso puede ser calculado evaluando el vector gradiente de la función. El vector gradiente queda planteado:
gradF = < 3y , 3x , 2z >.
Luego, pasamos a los puntos:
(1,1,0) y (0,0,0) no pertenecen a S, ya que sus coordenadas no verifican la ecuación.
(1,1,1) si pertenece a S, porque sus coordenadas si verifican la ecuación, por lo tanto el vector normal al plano tangente a S en este punto será:
gradF(1,1,1) = < 3 , 3 , 2 >.
Luego, planteamos la ecuación cartesiana del plano tangente en este último punto:
3(x - 1) + 3(y - 1) + 2(z - 1) = 0
distribuimos, reducimos términos semejantes y queda:
3x + 3y + 2z - 8 = 0.
Espero haberte ayudado.
Hola¿ alguien podría ayudarme con este ejercicio?:
si cos70=0,34 calcula cos 250 y el cos 290.
Gracias!!

EL ANGULO 250 SE ENCUENTRA EN TERCER CUADRANTE, PUESTO QUE SU COSENO ES NEGATIVO.. SI LO REDUCIMOS AL PRIMER CUADRANTE , ENTONCES TENEMOS QUE : 250-180= 70 . POR LO QUE: COS (250) = -COS(70) = -0.34)
Y EL ANGULO DE 290 PERTENECE AL CUARTO CUADRANTE , VIENE REPRESENTADO POR SU MISMO RADIO VECTOR QUE EL ANGULO -70, POR LO QUE:
COS 290 = COS(-70)
COS(-θ)=COS(θ)
ENTONCES: COS 290 = COS(-70)= COS 70 = 0.34
Buenas Unicoos,
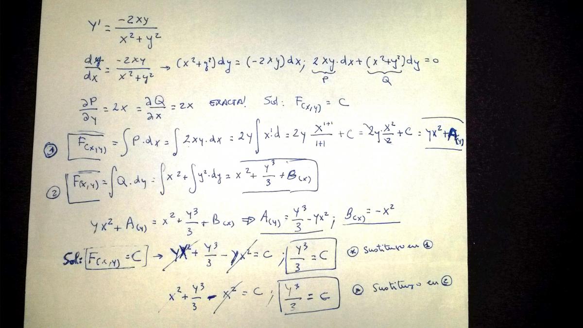
alguien sabe por que esta mal esta ecuacion diferenciall exacta?

ESO ES LO QUE PARECE EXTRAÑO , POR QUE AGREGASTE B(X)? , SEGUN LA DEFINICIÒN DE LA ECUACIÓN DIFERENCIAL EXACTA SERIAN CUATRO PASOS: PRIMERO: HALLAR ∫Pdx+g(y)
SEGUNDO: d( ∫Pdx)/dy+g`(y)=Q
TERCERO: HALLAS g(y) INTEGRANDO g`(y)
CUARTO: ∫Pdx+g(y) =c SERIA LA SOLUCIÒN
INTENTALO DE ES MANERA!!
Hola muy buenas, ¿alguien me puede ayudar con el siguiente ejercicio?
tenemos dos rectas: r/ax-2y+5=0 a) hallar a y b para que se corten en el P(2,0)
s/x+by+6=0 b) hallar a y b para que formen un angulo de 60º
Muchas gracias.
Punto simetrico a A (O,7) de la recta r:3x+5y-1=0 suponiendo que A esta en una recta perpendicular a r

HOLA CESAR!!! , OBVIAMENTE EL PUNTO A ESTÀ EN LA RECTA PERPENDICULAR r , YA QUE SU SIMÉTRICO TAMBIÉN LO ESTA, TE RECOMIENDO QUE VEAS LOS VIDEOS DE DAVID BUSCALOS , TE PASARA EL ENLACE DEL VIDEO DE DAVID PERO CREO QUE LA PAGINA ESTA MANTENIMIENTO Y HAY ALGUNAS FUNCIONES COMO POR EJEMPLO ESA QUE NO ESTA DISPONIBLE .. , ALLÌ SALE PASO A PASO QUÈ HACER EN ESTE TIPO DE EJERCICIOS ..SALUDOS
Buenas tardes, estoy haciendo inventario de mis apuntes antes de empezar el siguiente curso, y aunque tengo el ejercicio con la corrección, no la entiendo. No comprendo el razonamiento que hace, si alguien pudiera ayudarme... Es un ejercicio sobre SUBESPACIOS VECTORIALES.

Para que un subconjunto sea subespacio vectorial se ha de cumplir que cualquier combinación lineal de elementos de él esté también en el. Esto incluye:
Que esté el vector nulo. Que esté el opuesto. Que esté el producto de un escalar por un vector. Y que esté la suma y la resta de vectores pertenecientes a dicho subconjunto.
En este caso hemos encontrado dos polinomios de A cuya resta no está en A.
Espero haberte ayudado, Sandro.