Hola unicoos me ayudan con este problema sencillo, pero no logro resolver
Quiero hallar los puntos criticos de esta ecuacion diferencial dy/dx=(2/pi)y-sen(y) , yo tengo entendido que para hallar los PC dy/dx=0, luego no sé como hallar los puntos
Un saludo y muchas gracias por la ayuda de siempre

La condición de punto crítico la has entendido bien:
dy/dx = 0
luego reemplazamos la expresión de la derivada y nos queda:
(2/pi)y - sen(y) = 0
observa que se trata de una ecuación trascendente, con un término monómico y otro trigonométrico, cuyas soluciones las buscamos inspeccionando valores:
Para y = 0, la ecuación se verifica,
para y = pi/2, la ecuación también se verifica,
por lo tanto tenemos que y1 = 0, e y2 = pi/2 son puntos críticos.
Puedes verificar mediante un gráfico hecho con computadora, representando gráficamente las funciones:
f(y) = (2/pi)y
g(y) = sen(y)
ya que la condición de punto crítico que hemos planteado, puede escribirse como: f(y) - g(y) = 0.
Espero haberte ayudado.
Hola, no encuentro el error. Debería darme algo como lo que se ve abajo a la derecha en el dibujo, pero la monotonía me sale diferente. He repasado la derivada varias veces y no sé qué estoy haciendo mal. Es el apartado k). A ver si alguien me dice donde meto la pata, por favor. La función es f(x) = (x) / (x^2-16), por si no se ve. El problema es la monotonía, el resto está bien.
Tengo F(x) = ∫ x² e∧t² dt con limites de integración de 1 a cosx.
Me piden encontrar F′(1) con solución en los numeros reales. Me he estado cabeceando por horas con este ejercicio, si es que alguien me lo pudiese explicar se lo agradecería bastante.

Por favor, debes verificar la función integrando (observa que la has expresado con variable x y con variable t).
Si la variable es solamente t, tenemos:
F(x) = Integral (t^2 * e^(t^2) * dt)
luego, por el Teorema Fundamental del Cálculo Integral, tenemos que:
F ' (x) = (cosx)^2 * e^((cosx)^2) * (- senx).
y por último, evaluamos para x = 1 y llegamos a:
F ' (1) = (cos1)^2 * e^((cos1)^2) * (- sen1).
Espero haberte ayudado.
Hola, Buenas noches, tengo un pequeño problema con los numero complejos,
Unos de los ejercicios dice: Exprese de la forma binomica los siguientes numeros complejos:
a) (1+i)^-1
b)(1+i)^100
c)[(2+i)/(3-2i)]^2
Gracias!
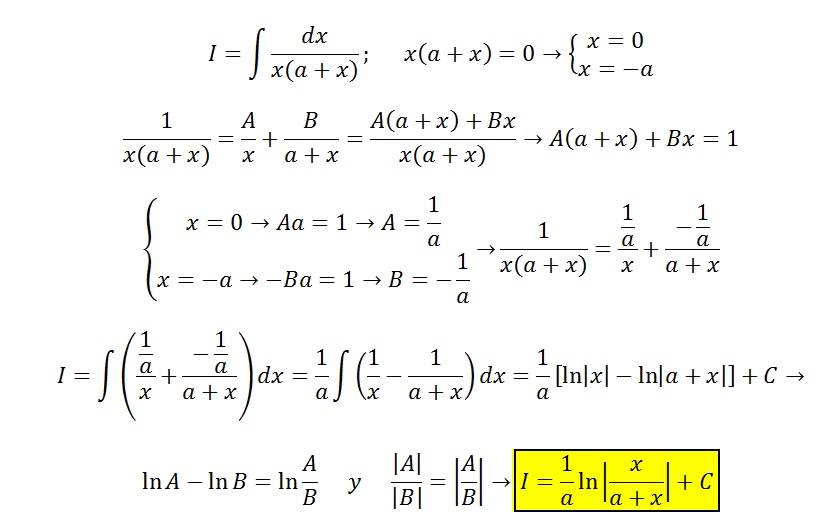
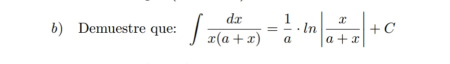
Hola,
Tengo el ejercicio que adjunto. Logré resolver las partes a y b, pero necesito ayuda para continuar con la parte c.
Gracias